网站首页  词典首页


请输入您要查询的字词:

 

字词 5′-尿苷酸钠(灭菌)[中]
类别 中英文字词句释义及详细解析
释义 5′-尿苷酸钠(灭菌)[中]

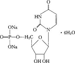
C9H11N2Na2O9P·6H2O=476.24

尿苷-5′-磷酸二钠盐六水化合物。

Uridine-5′-phosphoric acid disodium salt hexahydrate.

肝病辅助药。

5′-尿苷磷酸钠。

Uridine Sodium Phosphate,5′-Uridylic Acid Sodium Salt.

注射用5′-尿苷酸钠。

MI.

随便看

 

离鸟网收录3541549条中英文词条,其功能与新华字典、现代汉语词典、牛津高阶英汉词典等各类中英文词典类似,基本涵盖了全部常用中英文字词句的读音、释义及用法,是语言学习和写作的有利工具。

 

Copyright © 2004-2024 vtrois.com All Rights Reserved
更新时间:2026/4/19 21:50:01