网站首页  词典首页


请输入您要查询的字词:

 

字词 3.反射棱镜作用矩阵、像偏转的计算方法
类别 中英文字词句释义及详细解析
释义 3.反射棱镜作用矩阵、像偏转的计算方法

常用大部分反射棱镜的作用矩阵、像偏转已在图表中给出。图表未给出的棱镜,可用以下方法计算它们的作用矩阵、像偏转。

3.1 棱镜的作用矩阵计算方法

3.1.1 由棱镜的物、像坐标求作用矩阵

棱镜物、像坐标基底的转换矩阵就是棱镜的作用矩阵。

物坐标xyz的基底为i、j、k,像坐标x′y′z′的基底为i′、j′、k′,两坐标基底间的关系为:

式中

尺反映了棱镜物、像方向共轭关系,称为棱镜的作用矩阵。物向量为A,像向量为A′,它们的关系为:

A′=RA (3-19)

由棱镜物、像坐标的几何关系,R即可求得。

例:求屋脊半五棱镜BⅠJ-60的作用矩阵。

由图表给出的物、像坐标的几何关系,得

3.1.2 由特征方向和特征转角求作用矩阵

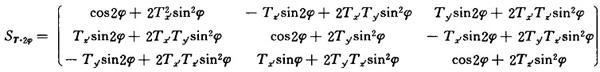
根据特征方向和特征转角的定义,偶次反射棱镜的任一像向量A′,可由其共轭的物向量A绕T转2φ角而成;奇次反射棱镜的任一像向量A′,则可由其共轭的物向量A的反向量(-A)绕T转2φ角而成。数学表达式如下

式中 t为棱镜反射次数。

和(3-19)式比较,得

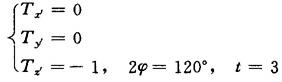
例:求屋脊半五棱镜BⅡJ-60的作用矩阵。

由图表中可得

代入(3-21)式,得

3.2 像偏转计算方法

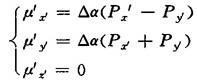
棱镜位于平行光路中时,μ′x′表示像倾斜,μ′y′、μ′z表示光轴偏;棱镜位于会聚光路中时,μ′r仍表示像倾斜,μ′y′、μ′z′表示像面偏。

3.2.1 棱镜微量转动产生的像偏转

3.2.1.1 由棱镜调整定理(余弦律和差向量法则)计算极值特性向量和像偏转分量。

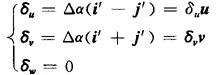
棱镜调整定理:“γ′像偏转μ′r′同引起像偏转的棱镜微量转角向量△αP之间的关系受余弦律支配:μ′r′=P·δhhcos(P,δh),而余弦律中的唯一矢参量δh可依据差向量法则求得:δh=△α[γ′-(-1)tγ]。这里,γ和γ′为棱镜物像空间内的一对共轭的单位向量”。

现先后用像空间x′、y′、z′轴取代余弦律和差向量法则中的γ′,则定理中的公式相应地变成下列两组公式:

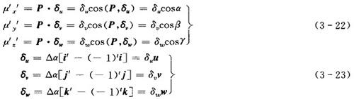
式中 i,j,k和i′、j′、k′分别为x、y、z轴和x′、y′、z′轴的单位向量;α、β、γ为棱镜转轴P分别同单位向量u、v、w的夹角。

由式(3-22)可见,当P∥δu(或P∥u)时,μ′x′ucos0°=δu=μ′x′max。同理,当P∥δv(或P∥v)时,μ′y′v=μ′y′max,以及当P∥δw(或P∥w)时,μ′z′=δwzmax。根据这一特点,u、v、w分别取名为μ′x′、μ′v′、μ′z′的极值轴向。δu、δv、δw分别取名为x′、y′、z′像偏转极值,而δv、δv、δw本身则取名为μ′x′、μ′y′、μ′z′的极值特性向量。

实际上,三个极值向量δu、δv、δw在很大程度上反应了棱镜的调整特性,因此,它们是棱镜调整特性参量中的一个重要组成部分。

例:求靴形屋脊棱镜FXⅡJ-90的极值轴向、像偏转极值和绕空间任意轴微量旋转产生的像偏转。

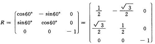
由图表和式(3-23)可求得

根据像偏转极值定义得

若棱镜绕坚直轴(图中x轴方向)微量转动,由式(3-22)求得

3.2.1.2 由棱镜转动定理计算极值轴向和像偏转

棱镜转动定理可写成下列数学形式

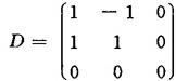
式中E为单位矩阵。令: D=E-(-1)tR (3-25)

则: μ′=D△αP (3-26)

矩阵D的各行所对应的向量分别是u、v、w的方向,其模乘以△α分别是μ′x′max、μ′y′max、μ′z′max

例:求靴形屋脊棱镜FXⅡJ-90的极值轴向、像偏转极值和绕空间任意轴微量旋转产生的像偏转。

将此棱镜的作用矩阵R代入式(3-26)得

由此得极值轴向为:

像偏转极值为

将D代入式(3-26),求得棱镜绕空间任意轴微量旋转产生的像偏转为

若棱镜绕竖直轴(图中x轴方向)微量转动,则

代入上式求得像偏转为

3.2.2 制造误差产生的像偏转

3.2.2.1 任何一个棱镜,都是在位于设计位置的条件下,将系统光轴折转固定角度,从而保证系统光轴的共轴性。如果有了制造误差,即使棱镜处于设计位置,光轴经棱镜折转后也会偏离正确方向,使棱镜前面光学元件的光轴经棱镜后不再和后面光学元件的光轴重合。同时,制造误差也会产生像倾斜。

3.2.2.2 以A棱为基准棱,基准棱的选取原则见GB7660.2-87《反射棱镜分类、代号与图表》。令基准棱位于设计位置,制造误差会使其他工作面法线或屋脊棱偏离正确位置,从而导致像偏转。

3.2.2.3 制造误差产生的y′、z′像偏转

a.以入射表面和出射表面交棱为基准棱,使用时光轴又是垂直入射表面入射的棱镜,制造误差产生的y、′z′像偏转分别为:

使用时光轴不垂直入射表面入射的棱镜,制造误差产生的y′、z′像偏转分别为:

式中 i0为光轴在入射表面上的入射角

b.以入射表面和第一个反射面交棱为基准棱的棱镜,制造误差产生的y′、z′像偏转分别为

3.2.2.4 制造误差产生的x′像偏转(像倾斜)

制造误差产生的x′像偏转是由棱差引起的。A棱差使反射面法线绕该反射面的u轴旋转,C棱差使屋脊棱绕两屋脊面构成的双面镜的u轴旋转。它们产生的x′像偏转分别为:

式中 α0为光轴在反射面或屋脊棱上的入射角。

3.2.2.5 既然制造误差产生的像偏转是各个量代数相加,必然要有符号规定,公式本身也会出现正负号,问题比较复杂。而制造误差生产的像偏转主要用于给定角度公差,无论是按极限误差还是按均方误差给定公差,有意义的是各误差源的绝对值,故图表中给出的关系式均用相加形式。

随便看

 

离鸟网收录3541549条中英文词条,其功能与新华字典、现代汉语词典、牛津高阶英汉词典等各类中英文词典类似,基本涵盖了全部常用中英文字词句的读音、释义及用法,是语言学习和写作的有利工具。

 

Copyright © 2004-2024 vtrois.com All Rights Reserved
更新时间:2026/4/18 13:50:00