3-乙酰乌头碱[中]
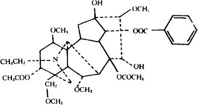
C36H49NO12=687.78 20-乙基-1,6,16-三甲氧基-4-(甲氧代甲基)乌头烷-3,8,13,14,15-五醇-3,8-二醋酸酯-14-苯甲酸酯。 20-Ethyl-1,6,16-trimethoxy-4-(methoxymethyl)aconitane-3,8,13,14,15-pentol-3,8-diacete-14-benzoate. 镇痛药。用于肩周炎、颈椎病、落枕、肩臂痛、风湿性关节炎、类风湿性关节炎、腰扭伤、关节扭伤、挫伤、腰背痛、良性关节痛、坐骨神经痛、带状疱疹和中小手术后止痛。 新乌宁痛。 3-Acetylaconitine. 3-乙酰乌头碱片(新乌宁痛片),3-乙酰乌头碱注射液(新乌宁痛注射液)。 
|