网站首页  词典首页


请输入您要查询的字词:

 

字词 黄花草
类别 中英文字词句释义及详细解析
释义 黄花草

【概况】:

异名 羊角草(《全国中草药汇编》),臭矢菜(《新华本草纲要》)。

基源 为白花菜科白花菜属植物臭矢菜的全草。

原植物 臭矢菜Cleome viscosa L.(Polanisia viscosa(L.)DC.;P.viscosa(L.)Wight et Arn.),又名野油菜(《中国高等植物图鉴》)。

形态 一年生草本,植株高30~90cm,有臭味。茎分枝,有黄色柔毛及粘质腺毛。

指状复叶;小叶3~5,倒卵形至倒卵状椭圆形,长1~3.5cm,宽1~1.5cm,全缘,两面有乳头状腺毛或无毛。总状花序有毛;叶状苞片3~5裂;萼片披针形,长约4mm;花瓣4,倒卵形,黄色,基部呈紫色,长8~10mm,无爪;雄蕊10~20,稍短于花瓣;子房密生淡黄色腺毛,无子房柄。

蒴果圆柱形,长4~10cm,具明显纵条纹,有粘质腺毛。种子多数,褐色,有皱纹。(图见《中国高等植物图鉴》.第2册.29页.图1788)

生境与分布 生于山坡、路边。

分布于江西、福建、台湾、湖南、广东、广西、云南。

。【化学】:

全草含麦角甾五烯-3-O-α-L-鼠李吡喃糖甙(Ergost-5-ene-3-()-α-L-rhamnopyranoside)、5,4′-二-O甲基圣草酚-7-O-β-D-葡萄吡喃糖甙(5,4′-di-OMethyleriodictyol-7-O-β-D-glucopyranoside)[1]

根含β-香树脂醇、羽扇豆醇、3′,4′,5,-三羟基双氢黄烷酮-7-O-α-L-鼠李吡喃糖甙(3′,4′,5-Trihydroxyflavanone-7-O-α-L-rhamnopyranoside)[2]、柚皮素4′-半乳糖甙(Maringenin-4′-galactoside)、二氢山柰酚4′-木糖甙(Dihydrokaempferol 4′-xyloside)[3],地上部分和根含9种氨基酸[4]。叶含醉蝶花内酯(Cleomeolide.)[[56]

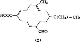
种子含7种氨基酸[4],醉蝶花桑特灵(Cleosandrin)[7]、醉蝶花木脂素甲、乙、丙、丁(1)(Cleomiscosin A,B,C,D)[8,9]、豆甾-5,24(28)二烯-3β-O-α-L-鼠李糖甙(Stigmasta-5,24(28)-diene3β-O-α-L-rhamnoside)[10]、醉蝶花醛酸(拟)(Cleomaldeic acid)[11,12](2)。

种子油含棕榈酸(Palmitic acid)、硬脂酸(Stearic acid)、油酸(Oleic acid)[4]

参考文献 [1] Indian J Chem Sect B 1982;21B(2)∶165(CA 1982;96∶214280x) [2] Indian J Chem Sect B 19B(8),1980∶715 [3] Indian J Chem Sect B 17B(3),1979∶300 [4] CA 1984;101∶167191d(Indian J Pharm Sci 1984;46(2)∶91) [5] Tetrahedron 1980;36(24)∶3489 [6] J Am Chem Soc 1979;101(16)∶4720 [7] Indian J Chem Sect B 1979;17B(5):438 [8] CA 1985;102∶201124s(Tetrahedron 1985;41(1)∶209) [9] Phytochemistry 1988:27(2)∶636 [10] Phytochemistry 1980;19(11)∶ 2510 [11] Phytochemistry 1990;29(2)∶666 [12] CA 1993;119∶137906V(J Oil Technol Assoc India 1993;25(1)∶19

。【药性】:

性味 《新华本草纲要》:“全草、种子:味苦、辛,性温。有毒。”

功效 散瘀消肿,去腐生肌。

主治 跌打肿痛,疮疡溃烂。

用法用量 外用:鲜全草捣烂,酒炒外敷,或全草煎水洗,并用全草研末撒布患处。

随便看

 

离鸟网收录3541549条中英文词条,其功能与新华字典、现代汉语词典、牛津高阶英汉词典等各类中英文词典类似,基本涵盖了全部常用中英文字词句的读音、释义及用法,是语言学习和写作的有利工具。

 

Copyright © 2004-2024 vtrois.com All Rights Reserved
更新时间:2026/4/18 13:11:37