网站首页  词典首页


请输入您要查询的字词:

 

字词 38.氟乐灵
类别 中英文字词句释义及详细解析
释义 38.氟乐灵

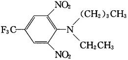
中文通用名称:氟乐灵,英文通用名称:trifluralin,其他名称:特福力、氟特力、氟利克、茄科宁、Treflan,化学名称:2,6-二硝基-N,N-二丙基-4-三氟甲基苯胺,化学分子式:C13H16F3N3O4,相对分子量:335.3。

化学结构式

理化性质:纯品为橘黄色晶体,具芳香族化合物气味,熔点48.5~49℃(原药43~47.5℃),沸点96~97℃/24Pa,相对密度1.36(22℃),蒸汽压6.1mPa(25℃)。溶解度(25℃):水0.184g/L(pH5),0.221g/L(pH7),0.189mg/L(pH9);丙酮、氯仿、乙腈、甲苯、乙酸乙酯>1000g/L,甲醇33~40g/L,己烷50~67g/L。52℃稳定,pH3、6、9下稳定,紫外光下分解。

毒性:原药大鼠急性经口LD50>10000mg/kg,大鼠急性吸入LC50>2.8mg/L(1h)。对家兔的眼睛、皮肤有刺激作用。蓝鳃鱼和金鱼LC50分别为0.058mg/L和0.59mg/L,水蚤LC50为0.2~0.6mg/L。对蜜蜂致死量为24mg/头。

农药类别:低毒二硝基苯胺类除草剂。

随便看

 

离鸟网收录3541549条中英文词条,其功能与新华字典、现代汉语词典、牛津高阶英汉词典等各类中英文词典类似,基本涵盖了全部常用中英文字词句的读音、释义及用法,是语言学习和写作的有利工具。

 

Copyright © 2004-2024 vtrois.com All Rights Reserved
更新时间:2026/4/18 12:22:07