网站首页  词典首页


请输入您要查询的字词:

 

字词 黄芩甙[中]
类别 中英文字词句释义及详细解析
释义 黄芩甙[中]

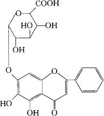
C21H18O11=446.37

为中药黄芩提取的有效成分。

5,6-二羟基-4-氧-2-苯基-4H-苯并吡喃基-7-β-D-葡萄吡喃糖醛酸。

5,6-I)ihydroxy-4-oxo-2-phenyl-4H-1-benzopyran-7-yl-β-D-glucopyranosiduron1icacid.

除湿热、泻实火。

用于急性、迁延性和慢性肝炎,对血清谷丙转氨酶及浊度试验异常者有较好的治疗作用。

贝加灵。

Baicalin.

黄芩甙片。

随便看

 

离鸟网收录3541549条中英文词条,其功能与新华字典、现代汉语词典、牛津高阶英汉词典等各类中英文词典类似,基本涵盖了全部常用中英文字词句的读音、释义及用法,是语言学习和写作的有利工具。

 

Copyright © 2004-2024 vtrois.com All Rights Reserved
更新时间:2026/4/20 15:47:29