2.啶虫脒
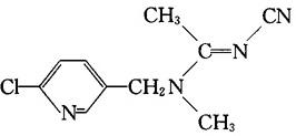
中文通用名称:啶虫脒,英文通用名称:acetamiprid,其他名称:吡虫清、莫比朗、乙虫脒,化学名称:(E)-N1-[(6-氯-3-吡啶基)甲基]-N2-氰基-N1-甲基乙酰胺;化学分子式:C10H11ClN4;相对分子量:222.68。 化学结构式:  浅黄色结晶粉末,熔点98~101℃,相对密度1.330,蒸汽压<1.33×10-6Pa(25℃)。25℃时,水中的溶解度4.2g/L,易溶于丙酮、甲醇、乙醇、二氯甲烷、氯仿、乙腈等有机溶剂。在中性或偏酸性介质中稳定,常温下稳定。 毒性:雄大鼠急性口服LD50>217mg/kg,雌大鼠146mg/kg,雄、雌大鼠急性经皮LD50>2000mg/kg,对兔眼睛、皮肤无刺激作用。 农药类别:低毒杂环类杀虫剂。 |