网站首页  词典首页


请输入您要查询的字词:

 

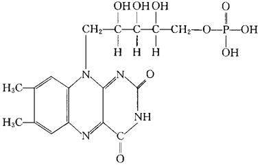
字词 黄素单核苷酸
类别 中英文字词句释义及详细解析
释义 黄素单核苷酸

核黄素磷酸酯。

有氧化型和还原型两种形式,分别简写成FMN和FMNH2。含有维生素B2,是一种假核苷酸。在氧化还原反应中,分子中的异咯嗪环可以可逆地进行加氢和脱氢反应。为一些需氧或不需氧脱氢酶或黄素蛋白的辅基,在生物体内一般起递氢作用。

随便看

 

离鸟网收录3541549条中英文词条,其功能与新华字典、现代汉语词典、牛津高阶英汉词典等各类中英文词典类似,基本涵盖了全部常用中英文字词句的读音、释义及用法,是语言学习和写作的有利工具。

 

Copyright © 2004-2024 vtrois.com All Rights Reserved
更新时间:2026/4/19 3:11:35