网站首页  词典首页


请输入您要查询的字词:

 

字词 黄皮叶
类别 中英文字词句释义及详细解析
释义 黄皮叶

【概况】:

基源 为芸香科黄皮属植物黄皮的树叶。

原植物 黄皮Clausena lansium(Lour.)Skeels.(C.punctata Rehd.etWils.)

余项参见“黄皮果”条。

【生药】:

采集 全年可采叶。

【化学】:

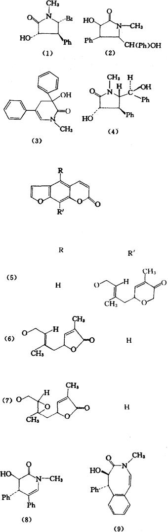
叶含新黄皮酰胺(Neoclausenamide)(1)[1]、环黄皮酰胺(Cycloclausenamide)[1]、黄皮酰胺(Clausenamide(2)[2,3]、3,4-二氢-3-羟基-1-甲基-3,5-二苯基-2(1H)-吡啶酮(3)[4]、异新黄皮酰胺(Isoneoclausenamide)(4)[5]、印度黄皮内酯(拟)(Indicolactone)(5)、八角黄皮内酯(拟)(Anisolactone)(6)[6]、2″,3″-环氧八角黄皮内酯(拟)(2″,3″-Epoxy-anisolactone)(7)[6]、同黄皮酰胺(Homoclausenamide)(8)、3-黄皮酰胺(3-Clausenamide)(9)[7]

附 ❶ 地上部分含兰萨酰胺(拟)(Lansimide)[8]、3,4-二氢-3-羟基-1-甲基-3,5-二苯基-2(1H)-吡啶[4]、兰萨醇(拟)[Lansiol;3β-Hydroxy-23,24,24-trimethylanosta-9(11)-25-diene][9]、欧芹属素乙(Imperatorin)、黄皮亭(拟)(Wampetin)、8-牻牛儿氧补骨脂素(8-Geranoxypsoralen)、(+)-刺参酮(拟)[(+)-Oplopanone][10]、3-甲酰-甲氧基咔唑(3-Formyl-6-methoxycarbazole)、6-甲氧基咔唑-3-羧酸甲酯(Me 6-Methoxy-carbazole-3-carboxylate)、3-甲酰咔唑(3-Formyl carbazole)、咔唑-3-羧酸甲酯(MeCarbazole-3-carboxylate)、九里香碱(Murrayanine)、山小桔唑灵(拟)(Glycozoline)、印度黄皮唑灵(拟)(Indizoline)[11]
❷ 根含七叶黄皮碱(Heptaphylline)[12],去氢印度黄皮内酯(Dehydroindicolactone)[13]等成分。

参考文献 [1] 化学学报 1987;45(12)∶1170 [2] Phytochemistry 1988;27(2)∶445 [3] 药学学报 1987;22(1)∶33 [4] CA 1988;108∶101329t [5] Chin Sci Bull 1989;34(11)∶957(CA.1990;112:198860c) [6] 中草药 1990;12(12)∶535 [7] Chin Chem Lett 1991;2(4)∶291(CA 1991;115∶155059t) [8] Indian Drugs 1988;26(3)∶105(CA 1989;110∶128439 q) [9] Phytochemistry 1989;28(3)∶943 [10] J Chin Chem Soc(Taipei) 1990;37(6)∶571(CA 1991;114∶139767 w) [11] Phytochemistry 1991;30(1)∶343 [12] Indian J Chem Sect B 1981;19B∶1075 [13] Fitoterapia 1983;54∶47

【药理】:

❶ 降血糖 黄皮成分黄皮香豆精(Clausena coumarin,Dehydroindicolactone)200mg/kg ig,连续3d,可使正常小鼠、四氧嘧啶糖尿病小鼠血糖降低,并对抗肾上腺引起的小鼠血糖升高[1]
❷ 抗脂质 过氧化及清除自由基作用 黄皮酰胺(Clausenamide)lmmol/L,可抑制铁-半胱氨酸体系引起的大鼠脑、心、肝和睾丸微粒体脂质过氧化,电子自旋共振法研究表明,黄皮酰胺可清除PMA(佛波醇豆蔻酸乙酯)刺激人多形核白细胞所产生的氧自由基[2]

参考文献 [1] 药学学报 1989;24(5)∶391 [2] 中国药理学与毒理学杂志 1992;6(2)∶97

【药性】:

性味 ❶ 《陆川本草》:“辛,凉。”
❷ 《全国中草药汇编》:“叶:苦、辛,平。”

功效 解表散热,顺气化痰。

主治 感冒,流感,脑脊髓膜炎,疟疾。 ❶ 《陆川本草》:“治气胀腹痛,温病身热。”
❷ 《中药大辞典》:“治温病身热,咳嗽哮喘,气胀腹痛,黄肿,疟疾,小便不利,热毒疥癞。”

用法用量 内服:煎汤,15~30g(鲜品30~60g)。外用:煎水洗。

【临床应用】:

单方应用 ❶ 广州部队《常用中草药手册》:“治流感,感冒,疟疾:黄皮叶15~30g。水煎服。”
❷ 《福建中草药》:“治痰湿喘咳:鲜黄皮叶30~60g。水煎服。


❸ 《福建中草药》:“治疟疾:鲜黄皮叶30g,红糖15g。水煎服。”
❹ 《岭南采药录》:“解秽恶,消风肿,治疥癞,去热散毒:黄皮叶煎水洗。”
❺ 《岭南采药录》:“通小便:黄皮叶4~5片,酒30~60g,煎服。”

随便看

 

离鸟网收录3541549条中英文词条,其功能与新华字典、现代汉语词典、牛津高阶英汉词典等各类中英文词典类似,基本涵盖了全部常用中英文字词句的读音、释义及用法,是语言学习和写作的有利工具。

 

Copyright © 2004-2024 vtrois.com All Rights Reserved
更新时间:2026/4/19 8:06:09