网站首页  词典首页


请输入您要查询的字词:

 

字词 28.二甲戊乐灵
类别 中英文字词句释义及详细解析
释义 28.二甲戊乐灵

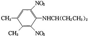
中文通用名称:二甲戊乐灵,英文通用名称:pendimethalin,其他名称:胺硝草、除草通、除芽通、杀草通、施田补,化学名称:N-(1-乙基丙基)-2,6-二硝基-3,4-二甲基苯胺,化学分子式:C13H19N3O4,相对分子量:281。

化学结构式:

理化性质:纯品为橙黄色晶体,熔点54~58℃,蒸汽压(25℃)4×10-3Pa,20℃时在水中溶解度为0.33mg/L,易溶于氯化烃及芳香烃溶剂中,对酸、碱稳定。

毒性:原药大鼠急性经口LD50为1250mg/kg。对鱼类及水生生物高毒。对蜜蜂和鸟的毒性较低。

农药类别:低毒苯胺类除草剂。

随便看

 

离鸟网收录3541549条中英文词条,其功能与新华字典、现代汉语词典、牛津高阶英汉词典等各类中英文词典类似,基本涵盖了全部常用中英文字词句的读音、释义及用法,是语言学习和写作的有利工具。

 

Copyright © 2004-2024 vtrois.com All Rights Reserved
更新时间:2026/4/19 20:13:55