1.折射棱镜的性质
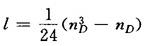
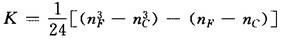
依靠折射作用使光线偏折的棱镜叫折射棱镜。它具有两个性质:偏向性、色散性。利用其偏向性,折射棱镜可使光路按所需要的方向进行折转;利用其色散性,折射棱镜可做为色散元件。 1.1 偏向性 用偏向角δ表示其偏向性。偏向角指折射棱镜使光线偏离原来方向的角度。通常用D光的偏向角δD表示。当入射角i不太大时,δD的经验公式为  式中 α为折射棱角;即二相邻折射面间的夹角。其符号规则为:出射面转向入射面,顺时针为正,反之为负;nD为棱镜材料对D光的折射率  δD为D光偏向角,符号规则为:入射光线转向出射光线,顺时针为正,反之为负。 当折射棱角α很小时,α3可以忽略,则 δD=(nD-1)α 我们把两个折射面夹角较小的折射棱镜称作楔镜或光楔。上式即为楔镜的偏向角计算公式。 1.2 色散性 两种不同颜色光线的出射光线分开的角度表示折射棱镜的色散性,通常用C、F光线分开的角度δFC表示。当入射角i不大时,δFC的经验公式为 △FC=(nF-nC)α+Kα3 式中 nF-nc为棱镜材料的中部色散。 
|