网站首页  词典首页


请输入您要查询的字词:

 

字词 黄三七
类别 中英文字词句释义及详细解析
释义 黄三七

【概况】:

异名 土黄连、太白黄连(陕西)。

基源 为毛茛科黄三七属植物黄三七的根状茎。黄三七属全世界1种,中国产,药用。

原植物 黄三七Souliea vaginata(Maxim.)Franch.(Isopyrum vaginatum Maxim.;Coptis ospirocarpa Brühl)

形态 根状茎粗壮,横走,粗0.4~0.9cm,分枝,下面疏生纤维状的根。茎高25~75cm,在基部生2~4片膜质的宽鞘,在鞘之上约生2枚叶。叶二至三回3出全裂,无毛;叶片三角形,长达24cm;一回裂片具长柄,卵形至卵圆形,中央二回裂片具较长的柄,比侧生的二回裂片稍大,轮廓卵状三角形,长4~7.5cm,宽3.5~6.5cm,中央三回裂片菱形,再1~2回羽状分裂,边缘具不等的锯齿,侧生三回裂片似中央三回裂片,但略狭小,并稍斜;叶柄长5~34cm。总状花序有4~6花;苞片卵形,膜质;花梗约与花等长,花先叶开放,直径1.2~1.4cm;萼片长8~11mm,宽4~7mm,具3脉,顶端圆,呈不规则浅波状;花瓣长为萼片的1/2~1/3,具多条纹,顶部稍平或略圆;雄蕊长4~7mm;心皮长7~9mm,柱头面中央微洼陷。

蓇葖1~2(-3),长3.5~7cm;种子12~16粒,长3~4mm,成熟时黑色,表面密生网状的洼陷。5~6月开花,7~9月结果。

(图见《中国植物志》.第27卷.92页.图版18)

生境与分布 生海拔2800~4000m间山地林中、林缘或草坡中。分布于中国陕西南部、甘肃南部、青海东部、四川西部、云南西北部及西藏东南部。缅甸北部、不丹、锡金也有。

【生药】:

采集 秋后采收根状茎或全草。

鉴别 根状茎多分枝,鸡爪状,长3~7cm;表面黄棕色至紫棕色,有明显的环节及细纵纹。质硬而脆,断面棕色至棕黑色,常见圆形空洞,周围著生多数须根,棕黑色,短小弯曲,多已折断。

气微,味苦。

贮藏 置通风干燥处。

。【化学】:

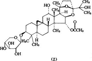
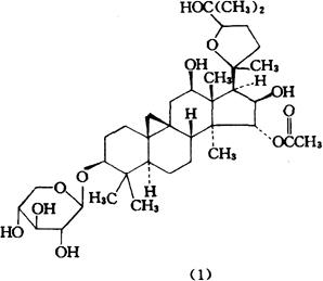
含铁破锣皂甙Ⅲ(1)、Ⅳ(2)(Beesioside Ⅲ,Ⅳ)[1、2]、升麻醇木糖甙、升麻甙(Cimicifugoside)与异阿魏酸等[3]

参考文献 [1] Phytochemistry 1985;24(6)∶1329 [2] CA 1990;113∶129339y Heterocycles 1990;30(2,Spec Issue)∶897 [3] 中药材 1991;14(1)∶37

【药性】:

性味 ❶ 《全国中草药汇编》:“苦,凉。”
❷ 《新华本草纲要》:“根状茎:味苦,性寒。”

功效 清热解毒,清心除烦,抗菌消炎,健胃,镇痛。

主治 眼结膜炎,口腔炎,咽炎,肠炎,痢疾,热病心烦,疮痈肿毒,止咳。

用法用量 内服:煎汤,6~9g。

外用:研末撒。

。【临床应用】:

单方应用 《全国中草药汇编》:“治痈疮肿毒:黄三七适量,研粉调敷患处。”

随便看

 

离鸟网收录3541549条中英文词条,其功能与新华字典、现代汉语词典、牛津高阶英汉词典等各类中英文词典类似,基本涵盖了全部常用中英文字词句的读音、释义及用法,是语言学习和写作的有利工具。

 

Copyright © 2004-2024 vtrois.com All Rights Reserved
更新时间:2026/4/18 8:07:07