网站首页  词典首页


请输入您要查询的字词:

 

字词 麻黄根
类别 中英文字词句释义及详细解析
释义 麻黄根

【名称出处】:《本草经集注》

【概况】:

异名 苦椿菜(《大同府志》)。

基源 为麻黄科麻黄属植物草麻黄、木贼麻黄及中麻黄的根及根茎。

原植物 草麻黄Ephedrasinica Stapf;木贼麻黄E.equisetina Bge.及中麻黄E.intermedia Schrenk ei Mey.

余项参见“麻黄”条。。【生药】:

采集 立秋后采挖根及根茎,去净细根及茎苗,晒干。

药材主产于内蒙古、辽宁、山西、河北、陕西、甘肃。

鉴别 根圆柱形或圆锥形,稍扭曲,长约20cm,直径约2cm;表面红棕色,有明显的纵沟,根茎有突起的节。质坚硬,纵劈之,内部有众多纵行的纤维,横断面木部有很多空隙,从中心向外放射,色淡黄。无臭,味微苦。

以质硬、外皮色红棕、断面色黄白者为佳。

贮藏 置通风干燥处。

。【化学】:

麻黄根、花、果、种子中,均不含苯丙醇胺类生物碱[1]

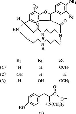
麻黄根中得到大环精胺类的麻黄根定碱(麻黄根素,Ephedradine)A(1)、B(2)、C(3)、D(4),阿魏酰组胺(Feruloylhistamine),均具降压活性[2~4];麻黄根中分出的麻黄根碱(麻黄根宁,麻根素,Maokonine,LTyrosine betaine)(5),具有升压活性[5];另外,麻黄根中含有的黄酮醇黄烷醇双分子化合物麻黄根宁A(Ephedrannin A)[6]及多种双黄烷醇类化合物麻黄宁(Mahuannin)A、B、C、D,亦具降压活性[7~10]

参考文献 [1] 程大敦等.内蒙古药用麻黄草资源调查和综合利用的研究报告.南京药物研究所,1990∶18 [2] CA 1980;92∶143246v [3] Planta Med 1983;48(2)∶108,1983;48(4)∶298 [4] CA 1982;96∶139667y;中药通报 1984;9(3)∶44 [5] Planta Med 1978;34(3)∶291 [6] Tetrahedron Lett 1982;23(6)∶673 [7] CA 1982;97∶98210u [8] CA 1983;99∶181328a [9] Heterocycles1983;20(10)∶1953(CA1984;100∶12497p) [10] Planta Med 1984;50(5)∶381

【药理】:

麻黄根甲醇提取物2g/kg iv,可使大鼠血压明显下降,有效成分为麻黄根素A(EphedradineA)[1]

麻黄根素A、B、C和D,均以3mg/kg iv,对大鼠均有降压作用,并减慢心率,以麻黄根素B的作用为最强,降压作用主要由于神经节阻滞的结果[2]。麻黄根中另一成分阿魏酸组胺(Feruloyhistamine)5mg/kg iv,可使大鼠血压下降[3]。麻黄根宁A(EphedranninA)对大鼠有类似麻黄根素的降压作用[4]

麻黄根宁(Maokonine)与麻黄根中其他成分不同,对大鼠为升压作用[5]

参考文献 [1] Tetrahedron Lett 1979;(10)∶873 [2] Planta Med 1983;48(4)∶290 [3] Planta Med 1983;48(2)∶108 [4] Tetrabedron Lett 1982;23(6)∶673 [5] Planta Med 1978;34(3)∶291

。【药性】:

性味 ❶ 《本草正》:“甘、微苦、微涩,平。”
❷ 《中国药典》:“甘,平。”

归经 《中国药典》:“心、肺经。”

功效 止汗。

主治 体虚自汗,盗汗。

❶ 陶弘景:“止汗,夏月杂粉用之。”
❷ 《滇南本草》:“止汗,实表气,固虚,消肺气,梅核气。”
❸ 《四川中药志》:“治阳虚自汗,阴虚盗汗。”

用法用量 内服:煎汤,10~15g;或入丸、散。外用:适量,研细作扑粉。

使用注意 有表邪者忌服。

。【临床应用】:

配伍应用 ❶ 配浮小麦、黄芪,治体虚阴亏,自汗盗汗。

❷ 配煅龙骨、牡蛎、浮小麦,治营卫不和,气血失调之自汗、盗汗。
❸ 配五味子、柏子仁、牡蛎,治阴虚盗汗。

❹ 配生地、山萸肉、五味子、柏子仁,治阴虚内热,虚烦不眠,时有盗汗,腰膝冷痛。

❺ 配杏仁、金银花、荆芥穗、蒲公英,治支气管炎,咳嗽气喘。

方选和验方 ❶ 麻黄根散(《证治准绳》)治产后虚汗不止:麻黄根、当归、黄芪、煅牡蛎、人参、甘草各等分。共为粗末,每服12g,水煎服。

❷ 麻黄根粉(《备急千金要方》)治肾劳热,阴囊生疮;麻黄根、石硫黄各90g,米粉150g;同研细末,下筛,敷疮上,粉湿,更换再敷。
❸ 牡蛎散(《太平惠民和剂局方》)治诸虚不足,新病暴虚,津液不固,体常自汗,夜卧即甚,久而不止,消瘦,气短,怔忡,倦怠:黄芪(去苗)、麻黄根(洗)、牡蛎(米泔浸,刷去土,火烧通赤)各30g。

同研为末,每服9g,加小麦百余粒,水煎去渣热服,日2服。
❹ 麻黄根散(《太平圣惠方》)治产后虚汗不止:麻黄根60g,当归(炒)、黄芪各30g。3味同捣为末,每服12g,水煎去渣温服,不计时候。
❺ 《谈野翁试验方》:“治虚汗无度:麻黄根、黄芪等份。为末,面糊作丸如梧子大,每用浮小麦汤送服百丸,以止为度。”
❻ 《全国中草药汇编》:“治自汗、盗汗:麻黄根9g,浮小麦、煅牡蛎(先煎)各30g。水煎服。”
❼ 《全国中草药汇编》:“治脚汗:麻黄根30%,牡蛎30%,乌洛托品15%,滑石粉25%。上共研为末,用适量撒在脚上。用于长途步行,施工,一般能保持10~15天脚不出汗。”
❽ 吉林中医药1991;(4):“治支气管炎,咳嗽、所喘:麻黄根、杏仁、黄芩、鱼腥草、板蓝根、蝉衣、荆芥穗、蒲公英、金银花、生石膏。剂量随证加减,水煎服,或浓煎熬成膏服。


❾ 湖北中医杂志1991;(3):“治酒渣鼻:麻黄根、生麻黄节各80g,白酒1500ml。同煎30分钟,置于阴凉处3小时,用纱布过滤去渣,置入瓶内备用。

每次服25ml,日服二次(早、晚各服1次),10天为疗程,需用2~3个疗程。”。

【医药家论述】:

❶ 李时珍《纲目》:“麻黄发汗之气,驶不能御,而根芦止汗,效如影响。自汗有风湿、伤风、风温、气虚、血虚、脾虚、阴虚、胃热、痰饮、中暑、亡阳、柔痉诸症,皆可随证加而用之。当归六黄汤加麻黄根治盗汗尤捷,盖其性能行周身肌表,故能引诸药外至卫分而固腠理也。《本草》但知扑之之法,而不知服饵之功尤良也。”
❷ 陈修园《本草经读》:“麻黄根节,古云止汗,是引止汗之药,以达于表而速效,非麻黄根节自能止汗,旧解多误。”
❸ 《本草正义》:“麻黄发汗,而其根专于止汗,昔人每谓为物理之奇异。不知麻黄轻扬,故表而发汗,其根则深入土中,自不能同其升发之性。

况苗则轻扬,根则重坠,一升一降,理有固然。然正惟其同是一本,则轻扬走表之性犹在,所以能从表分而收其散越、敛其轻浮,以还归于里。

是固根荄收束之本性,则不特不能发汗,而并能使外发之汗敛而不出,此则麻黄根所以有止汗之功力,投之辄效者也。凡止汗如糯稻根、桃干、小麦、枣仁之类,皆取其坚凝定静之意,以收散失之气,其旨皆同,夫岂麻黄与根同出一本,而其性顾乃背道相驶耶?防风发汗,其根止汗,亦是此义。”

随便看

 

离鸟网收录3541549条中英文词条,其功能与新华字典、现代汉语词典、牛津高阶英汉词典等各类中英文词典类似,基本涵盖了全部常用中英文字词句的读音、释义及用法,是语言学习和写作的有利工具。

 

Copyright © 2004-2024 vtrois.com All Rights Reserved
更新时间:2026/4/20 12:10:51