网站首页  词典首页


请输入您要查询的字词:

 

字词 麻黄
类别 中英文字词句释义及详细解析
释义 麻黄

【概况】:

异名 龙沙(《本经》),卑相、卑盐(《别录》),狗骨(《广雅》)。

基源 为麻黄科麻黄属植物草麻黄、木贼麻黄及中麻黄的草质茎。麻黄属全世界约40种;中国有12种、4变种。

原植物 《中国药典1990年版》收载的有草麻黄Ephedra sinica Stapf,又名华麻黄,木贼麻黄E.equisetina Bge.,及中麻黄E.intermedia Schrenk et Mey.。

除上述种类外,各地作麻黄入药的还有山岭麻黄E.gerardiana Wall.,分布于四川、西藏。

丽江麻黄E.likiangensis Florin,分布于云南西北部、四川西南部。膜果麻黄E.prezewalskii Stapf,分布于内蒙古西北部、甘肃西部、青海北部、新疆等地。

矮麻黄E.minuta Florin,分布于四川北部及西北部、青海南部。单子麻黄E.monosperma Gmel.ex C.A.Meyer分布于黑龙江、河北、山西、内蒙古、青海、宁夏、甘肃、四川、新疆及西藏等省区。

藏麻黄E.saxatilis Royle ex Florin,分布于四川、云南、西藏等省区。

历史 麻黄始载于《本经》,列为中品,历代本草均有记载。宋《本草图经》载:“麻黄生晋地(山西)及河东(黄河之东),今近京多有之,以荥阳、中牟(河南境内)者为胜。春生苗,至夏五月则长及一尺左右,梢上有黄花,结食如百合瓣,而小又似皂荚子,味甜微有麻黄气外,红皮,里仁子黑,根紫赤色。

俗说有雌雄两种,雌者于三月四月内开花,六月内结子。雄者无花不结子,至立秋后收采其茎阴干。”以上记载与今用之麻黄基本相符。

形态 草麻黄为草本状灌木,高20~40cm。

木质茎短或匍匐状,小枝直伸或微曲,细纵槽纹常不明显,节间长2.5~5.5cm,多为3~4cm,径约2mm。叶2裂,裂片锐三角形,先端急尖。

雄球花多成复穗状,常具总梗;雌球花单生,有梗。种子通常2,包于苞片内,不露出,黑红色或灰褐色,三角状卵圆形或宽卵圆形,长5~6mm,表面有细皱纹。

花期5~6月,种子8~9月成熟。(图见《中药志》.第4册.彩图18)

生境与分布 生于山坡、平原、干燥荒地、河床及草原,常组成大片单纯群落。

分布于吉林、辽宁、内蒙古、河北、山西、河南西北部及陕西等省区。蒙古也有分布。

木贼麻黄的主要特征为直立小灌木,高达1m。叶2裂,褐色,大部合生,裂片短三角形,先端钝。草质茎纵槽纹细浅不甚明显,节间细而较短,长1~2.5cm,直径约1mm。

种子通常1。

(图见《中药志》.第4册.618页.图606)。生于干旱的山脊、山顶多石处;分布于中国河北、山西、内蒙古、陕西西部、甘肃、新疆等省区。原苏联、蒙古也有分布。

中麻黄的主要特征为灌木,高20~100cm,径1~2mm。节间长3~6cm。叶3裂式2裂,2/3以下合生;球花下的苞片2片对生或3片轮生,苞片的膜质边缘较明显;雌花的胚珠具长而弯曲的珠被管。

(图见《中药志》.第4册.616页.图606)。生于干旱荒漠、沙漠、戈壁、干旱山坡或草地上。

分布于中国辽宁、内蒙古、河北、山东、山西、陕西、甘肃、青海及新疆等省区,以西北地区最为习见。阿富汗、伊朗、原苏联也有分布。

。【生药】:

栽培 草麻黄野生于干燥山地,或荒砂丘,耐严寒和干旱。

一般壤土、砂土均可生长,但排水不良的洼地和粘土不宜种植。种子繁殖,需采收成熟饱满种子播种,条播按行距30cm开浅沟,将种子匀撒于沟内;穴播以行距30cm开浅穴,每穴播种20~30粒,覆薄细土,且浇水保湿。出苗后不需间苗,但应注意松土除草。亦可在秋季或早春进行分株繁殖,将植株丛挖出,按株丛大小分成5~10小株,然后以行距30cm栽植,栽后覆土至根芽,并压紧后浇水。苗期需适当浇水,促其成活,苗高7cm后,不宜过多浇水,但应勤除杂草。每年春季返青前施厩肥或堆肥,促使生长旺盛。

采集 9~10月割取绿色的草质茎,扎成小把,在通风处阴干或晾至7~8成干时再晒干。如曝晒过久则色发黄,受霜冻则颜色变红,均影响药效,故应注意避免。草麻黄主产于河北、山西、新疆、内蒙古,吉林、辽宁、陕西、河南等地也产。木贼麻黄主产于河北、山西、甘肃、陕西、内蒙古、宁夏、新疆。 中麻黄主产于甘肃、青海、内蒙古、新疆,山西、河北、辽宁、吉林也产。

鉴别

性状 草麻黄茎细长圆柱形,略扁,少分枝,直径1~2mm,有时带少量棕色木质茎,节明显,节间长2~6cm;表面浅绿或黄绿色,有细纵棱线,手触之微有粗糙感。

节上有膜质鳞叶,长3~4mm,下部约1/2合生成鞘状,上部2裂,稀3裂,裂片锐三角状披针形,先端灰白色,反曲。体轻质脆,易折断,断面略纤维性,外圈黄绿色,髓部圆形呈暗红棕色。气微香,味微苦涩。

木贼麻黄茎细圆柱形,多分枝,直径1~1.5mm,常带灰棕黑色的长木质茎,节间长1.5~3cm;表面灰绿色或绿黄色,细纵棱线不明显,手触之无粗糙感,膜质鳞叶下部约2/3合生成鞘状,基部常棕色,上部2裂,裂片短三角形,先端钝。余同草麻黄。 中麻黄茎长圆柱形,分枝较多,直径1.5~3mm,常带较多的棕色木质茎,节间长2.5~6cm,表面绿黄色或黄色,细纵棱线较明显,手触之有粗糙感。膜质鳞叶下部约1/3合生成鞘状或几不合生,上部3裂,稀2裂,裂片锐三角形或三角状披针形,先端微反曲。断面髓部常成三角状圆形。

余同草麻黄。均以淡绿或黄绿色、内心色红棕、手拉不脱节、味苦涩者为佳。

显微 草麻黄茎横切面:近圆形,边缘棱线16~24个,呈微波状凸起。表皮细胞类方形,被较厚角质层,棱线部位的表皮内侧有下皮纤维束,两棱线间有下陷的气孔。

皮层薄壁细胞靠外侧的2~3列似栅状,内含叶绿体,靠内侧的数列较疏松、内含草酸钙砂晶或小方晶;皮层纤维束少。中柱鞘纤维束新月形,维管束8~10个排成断续的环状。髓部细胞有时含棕色物,无或有极少数环髓纤维。(图见《中药志》.第4册.第2版.620页.图608)。

粉末淡棕色。 ❶ 表皮碎片断面观细胞类长方形,外壁布满微小颗粒状草酸钙结晶。角质层极厚,常破碎成不规则条状片块。
❷ 气孔为特异的内陷气孔,长圆形,侧面观保卫细胞似电话筒状。

❸ 皮部纤维细长,直径10~24μm,壁极厚,初生壁上布满微小类方形结晶,形成嵌晶纤维,胞腔线形。
❹ 木纤维较长,直径8~21μm,斜纹也明显。
❺ 螺纹、具缘纹孔及网状具缘纹孔导管直径10~15μm,导管分子端壁斜面相接,接触面具多数圆形穿孔,排成1~3列,成为麻黄式穿孔板。
❻ 皮层薄壁细胞类圆形,壁薄,含多数细小颗粒状结晶,亦有细小方晶及簇晶。

(图见《中药材粉末显微鉴定》.689页.图338)。木贼麻黄茎横切面:稍呈椭圆形,棱线13~14个,钝圆波状凸起。

皮层纤维束较多,散列。维管束8~9(稀10)个。

髓部细胞壁木化,无环髓纤维。余同草麻黄。

(图见《中药志》.第4册.第2版.621页.图610)。中麻黄茎横切面:通常略三角状圆形,棱线18~28个,呈波状凸起。

皮层纤维束多,稀疏环列。维管束12~15个,形成层环呈钝三角形。髓部细胞壁弱木化,环髓纤维较多见。余同草麻黄。

(图见同上,620页.图609)

理化 取样品粉末5g,加乙醇40ml,冷浸12小时,滤过,滤液浓缩至半量,点于硅胶G板上,以麻黄碱为对照,以正丁醇-冰醋酸-水(8∶2∶1)为展开剂,展距11cm,喷茚三酮试剂,加热至110℃斑点显红色。(图见同上.621页.图611)

加工炮制 ❶ 蜜麻黄 取炼蜜用适量开水稀释后,加入麻黄段拌匀,闷透,置锅内,用文火加热,炒至不粘手为度,取出放凉。每麻黄段100kg,用炼蜜20kg。
❷ 蜜麻黄绒 取炼蜜用适量开水稀释后,加入麻黄绒,闷透,置锅内,用文火加热,炒至深黄色不粘手为度,取出放凉。每麻黄绒100kg,用炼蜜25kg。

贮藏 置通风干燥处。蜜麻黄,密闭,置阴凉干燥处。

【化学】:

麻黄入药的主要是草麻黄,中麻黄次之,木贼麻黄多产山区,采收难,多地产自销,工厂亦少利用。

草麻黄为我国特有品种。内蒙东部草麻黄总生物碱约1.2%,麻黄碱含量在生长期一直占主导地位,约占总碱的70%以上,其它生物碱均较少。内蒙中西部草麻黄,在生长期伪麻黄碱多于麻黄碱,或两者相近,至l0月上旬采收时两者持平,其去甲伪麻黄碱、去甲麻黄碱含量也较高,总碱一般约2%[1]。中麻黄总碱约1.1%,麻黄碱占30%~40%;木贼麻黄总碱约1.7%,麻黄碱占85%~90%;有的麻黄品种含生物碱较少[1,2]

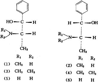
麻黄草中已知含有生物碱、黄酮、黄烷、鞣质、挥发油、有机酸、无机盐、脂类物质约120余种成分[1,3]。麻黄草中主要有三对差向异构体的苯丙醇胺类生物碱:(-)麻黄碱(麻黄素,l-Ephedrine)(1)、(+)伪麻黄碱(异麻黄碱,d-Pseudoephedrine)(2),(-)甲基麻黄碱(l-Methylephedrine)(3)、(+)甲基伪麻黄碱(d-Methylpseudo-ephedrine)(4),(-)去甲基麻黄碱(l-Norephedrine)(5)、(+)去甲伪麻黄碱(d-Norpseudoephedrine)(6)[1,2,3,4,5]

麻黄中还含苄甲胺(Benzylmethylamine)和尚未鉴定的麻黄定碱(Ephedine)[6,7]

从中麻黄中得到麻黄噁唑酮(Ephedroxane;3,4-Dimethyl-5-phenyloxazolidone),3,4-二甲基-5-苯噁唑烷(3,4-Dimethyl-5-phenyloxazolidine)和2,3,4-三甲基-5-苯噁唑烷[8]。从制取麻黄碱工厂母液残渣中得到O-苯甲酰-l-(+)伪麻黄碱[O-Benzoyl-l(+)pseudoephedrine][9]

从草麻黄挥发油中分出四甲基吡嗪(川芎嗪;2,3,5,6-Tetramethyl pyrazine)、l-d-萜品烯醇(l-α-Terpineol))、β-萜品烯醇(p-Terpineol)、萜品烯醇-4(Terpineol-4)、桂叶烯(Myrcene)、二氢葛缕醇(Dihydrocarveol)、对烯-[2]醇[7](p-Menth-2-en-7-ol)、1,3,4-三甲基环己烯[3]醛[1](3-cyclohexane-1-carboxaldehyde1,3,4-Trimethyl-)[10]。草麻黄用GC/MS方法从挥发油中鉴定32个化合物[1],又一研究鉴定37个化合物,在木贼麻黄挥发油中鉴定27个化合物[12]

麻黄中含有黄酮类、黄烷类、花色素类成分:从草麻黄中分出芹黄素(芹甙元,Apigenin)、小麦黄素(Tricin)、山柰醇(Kaempferol)、芹黄素鼠李糖甙(Apigenin-5-rhamnoside)、草棉黄素(Herbacetin)、3-甲氧基草棉黄素、山柰酚鼠李糖甙[13]

从木贼麻黄(前苏联产)中得到10种黄酮成分[14]。有的麻黄品种(E.andina,E.antisyphilitica)中还得到黄酮碳甙[15,16]。从中麻黄、木贼麻黄、瑞士麻黄(E.helvetica)中分出儿茶素(d-catechin)、表儿茶素[(-)Epicatechin]、没食子儿茶素(d-Gallocatechin)、表儿茶没食子儿茶素、白矢菊甙元(Leucocyanidin)、白飞燕草甙元(Leuco-delphinidin)、白天竺葵甙元(Leucopelargonidin)、3′,4′,5′-三羟基黄烷-3-醇(3′,4′,5′-Trihydroxyflavan-3-ol)、表儿茶素没食子酸酯(1-Epicafechol gallate)[17,18]。从中麻、瑞西麻黄等中分到多种缩合型鞣质类化合物[18,19],近十种儿茶素二聚体、十余种三聚体[20]

从木贼麻黄中分到苯甲酸、对羟基苯甲酸、桂皮酸、对香豆酸(p-Coumaric acid)[21]。另又分得苹果酸、枸橼酸、延胡索酸(Fumaric acid)、草酸、琥珀酸等[22]

从中国双穗麻黄(E.distachya)中分得五种聚糖成分-麻黄聚糠(Ephedran)A、B、C、D、E,具有降血糖活性[23]

从草麻黄、木贼麻黄、中麻黄中测出50种无机元素[24]

此外,有学者对麻黄在不同条件下,其生物碱、挥发油含量的变化进行了研究[25];对麻黄节间和节中的生物碱含量进行了测定和讨论[26,1]

参考文献 [1] 程大敦等.内蒙古药用麻黄草资源调查和综合利用研究报告.南京药物研究所,1990∶2,12,14 [2] 中国医学科学院药物研究所等.中药志.第4册.1988∶619 [3] 司端运.麻黄的成分和药理研究.南京药学院研究生专题,1988 [4] 南京药学院.中草药学.中册.江苏人民出版社,1976∶83 [5] 药学通报,1986;21(8)∶488 [6] Manske,RHF;Holmes,HL,The Alkaloids 1953;3∶339,1989;35∶77 [7] Chinese J physiology 1934;8∶161 [8] Phytochemistry 1979;18(4)∶697 [9] 高等学校化学学报1985;6(7)∶609 [10] 中草药1983;14(8)∶345 [11] 中药材.1989;12(4)∶32 [12] 中国药学杂志1989;24(7)∶402 [13] CA,1989;110∶151336e [14] CA 1976;85∶1897995m [15] Planta Med 1984;50(5)∶380 [16] Phytochemistry 1982;21(2)∶482 [17] CA 1974;81∶166323e [18] Planta Med 1976;30(2)∶163,1976;30(3)∶223 [19] CA 1962;56∶10586e、g [20] 药学杂志(日) 1983;103(2)∶125 [21] CA 1977;87∶81274p [22] CA 1964;61∶4765g [23] Planta Med 1985;51(2)∶162 [24] 药物分析杂志1989;9(6)∶329 [25] 中药材1988;11(3)∶38 [26] 中成药研究1985;(10)∶20

。【药理】:

❶ 对心血管的作用 麻黄碱对心血管的作用与肾上腺素相类似,但较为持久[1]

麻黄碱及伪麻黄碱2.5~50mg/kg iv,对大鼠可使血压升高,是属于直接和间接拟交感型的作用,麻黄碱的作用大于伪麻黄碱[2]。麻黄碱静滴量为18.75±1.85mg,对病人硬膜外麻醉阻滞所致低血压,能使血压升高,搏出量和总外周阻力增加[3]。麻黄碱1mg/kg iv,可使犬鼻粘膜血管收缩,作用较肾上腺素持久,麻黄碱iv后,血压升高,鼻腔容积增大,血压下降至接近正常时,鼻腔容积并不随之而减小,维持时间较长,而肾上腺素iv(1∶50,000,1ml)后,血压立即升高,但很快下降,鼻腔容积随血压的升高而增大,也随血压的下降也减小,并随之短暂的血管扩张,鼻腔容积减小[4]。麻黄碱能引起离体兔主动脉条浓度抑赖性收缩(1×10-4-3.3×10-3mmol/L),增加离体兔心房率(3.3×10-6-3.3×10-5mmol/L);3×10-4mmol麻黄碱可明显增加[3H]去甲肾上腺素从兔主动脉条的流出量[5]

麻黄碱0.1mg/kg iv,可升高猫肺动脉收缩压,也提高肺动脉舒张压[6]。麻黄碱0.1~3mg/kg iv,对麻醉猫可使肺动脉压升高,肺血管阻力增加,肺动脉压收缩压的升高大于舒张压的升高,表明心收缩力的作用加强;麻黄碱5×10-4~1×10-3mol/L浓度,可使兔离体肺主动脉条收缩,可使去甲肾上腺素从兔主动脉壁的流出增加,说明有促进去甲肾上腺素的释放,用可卡因处理后,麻黄碱对兔肺主动脉作用减弱,表明麻黄碱的作用有间接途径[7]

麻黄碱可引起兔离体肺动脉条的浓度依赖性收缩(0.1~3mmol/L)以6-羟基多巴胺和可卡因预处理,可使麻黄碱作用减弱52.3%,且具有明显增加[3H]去甲肾上腺素从肺动脉的流出,故认为麻黄碱对兔肺动脉兼有对效应细胞的直接作用和通过释放去甲肾上腺素的间接作用[8]。麻黄碱8mg/kg连续注射,对大鼠升压作用易产生耐受性,利血平可促使耐受性产生,根据实验资料,提出麻黄碱快速耐受性形成机制有:麻黄碱直接作用的快速耐受性是由于受体的饱和及麻黄碱间接作用是由于介质的耗竭[9]

❷ 对神经末梢和对受体的作用 麻黄碱对小鼠输精管突触前膜α2和后膜α1受体都有激动作用,麻黄碱2×10-4~1.6×10-3mol/L,可增强小鼠离体输精管自发性收缩,酚妥拉明(α1受体阻滞剂)可对抗之,麻黄碱5×10-7~1.6×10-5mol/L,能抑制输精管对电场刺激所致的收缩反应,这种抑制作用可被育享宾(α2受体阻滞剂)所对抗,由于麻黄碱与去甲肾上腺素对小鼠输精管作用还有差别,认为麻黄碱有可能还作用于其他部位[10]。麻黄硷10μmol-1×10-1mmol/L可抑制电场刺激所致小鼠输精管收缩,呈现浓度依赖性作用。这种作用至少部分通过促进神经末稍释放去甲肾上腺素间接作用,还可能与阻遏Ca+内流有关[14]。麻黄碱亦能使离体豚鼠门静脉产生浓度依赖性收缩,其IC50为70.8μmol/L,酚妥拉明能抑制这一作用;麻黄碱在1~30μmol/L范围内可以增加电场刺激离体豚鼠门静脉所致收缩,普萘洛尔减弱这一作用,而在高浓度范围(>0.3mmol/L),则有明显抑制作用,故认为麻黄碱以直接激动突触后α-受体为主,但也具有促进去甲肾上腺素释放的间接作用,后者与激动突触前β受体有关[11]

l-麻黄碱在离体大鼠肺细胞膜制备,竞争[3H]双氢烯丙洛尔特异结合和激活腺苷酸环化酶的作用强度均大于d-伪麻黄硷和l-甲基麻黄碱,三者内在活性相似。d-去甲伪麻黄硷对β-肾上腺素受体具有亲合力,但对腺甙酸环化酶活性没有影响,表明它是β-受体阻断剂[18]

❸ 对中枢神经作用 麻黄碱100mg/kg sc,可增加小鼠自发活动,α1受体阻断剂哌唑嗪可拮抗此作用,麻黄碱100μg,可解除哌唑嗪所致的小鼠眼睑下垂,表明麻黄碱的中枢兴奋作用是激动中枢α1受体所致[12]。麻黄挥发油164.6,274.3mg/kg ip可明显延长小鼠戊巴比妥钠睡眠时间或增强阈下催眠量戊巴比妥钠的作用。

麻黄挥发油1/3LD50(LD50∶823±42.6mg/kg)时,给药3h(ip)内有显著镇痛作用(小鼠热板法);麻黄挥发油亦能显著降低戊四唑的惊厥率和死亡率,但对士的宁和苯甲酸咖啡因的惊厥率和死亡率无影响。麻黄挥发油164.6,274.3mg/kg ip,对啤酒酵母混悬液性大鼠发热有解热作用[13]

❹ 对神经肌肉的影响 麻黄碱对哺乳动物神经肌接头作用,表现为一个突触后抑制药,麻黄碱10-5~10-4mol/L呈剂量依赖性地降低豚鼠肋间肌纤维小终板电位振幅6.57%~21.93%[15]。麻黄碱80μmol/L对大鼠膈神经-膈肌标本,可对抗高K+去极化所致神经肌肉麻痹,1mmol/L浓度时,对刺激膈神经所致膈肌收缩有短暂的兴奋,3~10mmol/L时,则表现为浓度依赖性抑制,麻黄碱不影响静息电位,浓度为1mmol/L时,使小终板电位频率短暂增加,终板电位量子含量呈现先增加后降低的双相变化,浓度为7mmol/L时,使小终板电位幅度明显降低[16]

麻黄碱在0.1~0.6mmol/L时,可抑制电场刺激所致离体豚鼠回肠收缩及回肠纵肌自发性收缩,也能减弱乙酰胆硷和5-HT的收缩效应。但标本经河豚毒素处理后,麻黄碱则能激发收缩效应。结果提示麻黄碱对豚鼠回肠纵肌具有直接作用;对胆碱能神经一肠平滑肌接头α2受体也有一定刺激作用[17]
❺ 镇咳、祛痰、平喘 麻黄碱0.4,4.0,4mg/kgig,对SO2引咳小鼠有镇咳作用[19]

麻黄挥发油0.093mg/kg ip,对组胺气雾引喘豚鼠有平喘作用,0.371mg/kg ip,对小鼠酚红排泌法试验,表明有祛痰作用,但对小鼠氨水引咳法试验,无镇咳作用[20]。在离体豚鼠气管的脱敏试验中,以累积浓度法加入麻黄碱33μmol-33mmol/L,结果提示连续应用麻黄碱可使离体豚鼠气管对麻黄硷产生脱敏,异丙基肾上腺素与麻黄碱有交叉脱敏作用,其机制与肾上腺素β-受体有关[21]

❻ 抗炎 (+)-伪麻黄碱50,100,200mg/kg ig,对小鼠醋酸引起的腹腔毛细血管通透性增加,100,200mg/kg ig,角文菜胶性足肿胀均有抑制作用,500μg/个,可抑制鸡胚肉芽组织形成[22]

伪麻黄碱100mg/kg ip,麻黄碱100mg/kg ip,对小鼠巴豆油耳肿均有抑制作用,但伪麻黄碱作用较强,伪麻黄碱25mg/kg ip,对大鼠角叉菜胶或甲醛性足肿胀均有抑制作用,伪麻黄碱20mg/kg ip,对大鼠棉球肉芽组织增生有抑制作用,对大鼠胸腺、肾上腺重量均无影响,其抗炎作用似与重体-肾上腺轴无关[23]

❼ 其他作用 麻黄多糖A、B、C、D、E,10,30,100mg/kg ip,对正常小鼠均有降血糖作用,麻黄多糖A对四氧嘧啶引起的小鼠血糖升高,也有降血糖作用[24]。人服麻黄碱50~60mg/kg,于高温环境中,出汗比正常人快[25],伪麻黄碱0.5~1mg/kg iv,对麻醉犬有利尿作用[26]。麻黄干浸膏10~30mg/只,于饮水中饮用,对实验性慢性肾功能衰竭大鼠,可使血中尿素氮、肌酐、甲基胍、及血磷含量下降,使血钙升高,表明麻黄干浸膏可改善肾功能,纠正高磷低钙血症[27]。麻黄中的鞣酸物质对猪肾血管紧张素转换酶有抑制作用,麻黄50%甲醇提取物200μg/ml,抑制率为98%,鞣酸类组分Ⅱ-5a、Ⅱ-5b、Ⅱ-5c2μg/ml浓度的抑制率分别为30%、19%及52%,20μg/ml浓度的抑制率分别为99%、95%及98%[28]

用管碟法进行实验,结果显示麻黄挥发油在1,5,20,40,100%浓度时对流感嗜血杆菌等17种菌有不同程度的抑菌作用,且作用强度随药物浓度增加而增强[20]。麻黄的节与节间部分的浸膏以1,3,10g/kg sc,均可抑制小鼠扭体反应,缩短小鼠环己巴比妥钠睡眠时间,抑制小鼠角叉菜胶性足肿胀等,两者作用类似,但麻黄节的作用较弱[29]

❽ 代谢 14C-d-及l-麻黄碱分别ip于大鼠,剂量为比放射能106ppm/mg,于尿中测得l-麻黄碱的代谢产物为去甲麻黄碱、对羟基麻黄碱、马尿酸及苯甲酸,还有一中性物质[32]。l-麻黄碱与兔肝制备品共孵2h后,除有少量l-麻黄碱原形物外,有代谢产物去甲麻黄碱、1-苯基-1,2-丙二醇、1-羟基-1-苯基-2-戊酮及苯甲酸[23]

毒性 小鼠ip的LD50:1-盐酸麻黄碱为1.21mmol/kg,d-盐酸伪黄碱为1mmol/kg,l-盐酸去甲麻黄碱为0.94mmol/kg,d-盐酸去甲伪麻黄碱为0.865mmol/kg[30]。对麻黄碱和伪麻黄碱MLD测定,蛙淋巴腔注射分别为540与770mg/kg,仓鼠ip分别为350与310mg/kg,大鼠sc分别为320与680mg/kg,灰兔sc分别为230与400mg/kg,灰兔iv分别为80与100mg/kg,白兔iv分别为50与130mg/kg,犬iv分别为70与130mg/kg[31]。麻黄挥发油,ig对小鼠的LD50为2.79±0.22ml/kg[20]

参考文献 [1] CA 1925;19∶3576 [2] CA 1968;69∶104879j [3] 中华麻醉学杂志 1984;4(3)∶133 [4] Chin J Physiol 1927;1(4)∶445 [5] 生理学报 1984;36(4)∶367 [6] 中华心血管病杂志 1988;16(2)∶71 [7] 中国医科大学学报 1985;14(6)∶437 [8] 中国药理学与毒理学杂志 1987;1(4)∶254 [9] 生理学报 1963;26(4)∶306 [10] 生理学报 1983;35(2)∶142 [11] 中国药理学报 1990;11(2)∶130 [12] 中国药理学报 1991;12(5)∶468 [13] 中成药研究 1982;(11)∶38 [14] 生理学报 1986;38(6)∶583 [15] CA 1980;92∶104083v [16] 中国药理学报 1987;8(4)∶313 [17] 中国药理学报 1987;8(3)∶213 [18] 中国药理学报 1987;8(4)∶318 [19] Planta Med 1986;52(4)∶275 [20] 药学通报 1986;21(4)∶235 [21] 中国药理学报 1987;8(4)∶309 [22] Chem Pharm Bull 1980;28(10)∶2900 [23] 中国药理通讯 1988;5(3)∶69 [24] Planta Med 1985;5(2)∶162 [25] Chin J Physiol 1937;11(1)∶47 [26] Chin J Physiol 1929;3(3)∶287 [27] 中国中西医结合杂志 1994;14(8)∶485 [28] Chem Pharm Bull 1984;32(9)∶3615 [29] 生药学杂志(日) 1984;38(2)∶159 [30] J.Pharmacol Exp Ther 1967;15(1)∶135 [31] Chin J Physiol 1929;3(1)∶81 [32] 药学杂志(日) 1967;87(2)∶123 [33] 药学杂志(日) 1969;89(6)∶833

【药性】:

性味 辛苦,温。

❶ 《本经》:“苦,温。”
❷ 《药性论》:“甘,平。”
❸ 《医学启源》:“《主治秘要》云,性温,味甘、辛。”
❹ 《中国药典》:“辛、微苦,温。”

归经 入肺、膀胱经。 ❶ 《珍珠囊》:“入手太阴。”
❷ 《汤液本草》:“入足太阳经,走手少阴。”
❸ 《药品化义》:“入肺、大肠、包络,膀胱四经。”

功效 发汗散寒,宣肺平喘,利水消肿。

主治 伤寒表实,发热恶寒,无汗,风水浮肿,小便不利,头痛鼻塞,咳嗽气喘,骨节疼痛,风邪顽痺,皮肤不仁,风疹瘙痒。 ❶ 《本经》:“主中风,伤寒头痛,温疟。发表出汗,去邪热气,止咳逆上,除寒热,破癥坚积聚。


❷ 《别录》:“主五脏邪气缓急,风胁痛,字乳余疾。止好唾,通腠理,解肌,泄邪恶气,消赤黑斑毒。


❸ 《药性论》:“治身上毒风顽痺,皮肉不仁。”
❹ 《日华子本草》:“通九窍,调血脉,御山岚瘴气。”
❺ 《珍珠囊》:“泄卫中实,去营中寒,发太阳、少阴之汗。”
❻ 《纲目》:“散赤目肿痛,水肿,风肿,产后血滞。”
❼ 《中药形性经验鉴别法》:“治腹痛,下痢,疝气,目疾、感冒。”
❽ 《中国药典》:“风寒感冒,胸闷喘咳,风水浮肿,支气管哮喘。蜜麻黄润肺止咳,多用于表症已解,气喘咳嗽。”
❾ 《滇南本草》:“治鼻窍闭塞不通,香臭不闻,肺寒咳嗽。”
❿ 《现代实用中药》:“对关节疼痛有效。” ⑾《科学的民间药草》:“治气喘,干草热,百日咳,支气管炎。”

用法用量 内服:煎汤,1.5~9g;或入丸、散。

使用注意 凡素体虚弱而自汗,盗汗,气喘者,均忌服。 ❶ 《本草经集注》:“厚朴为之使,恶辛夷、石韦。”
❷ 《别录》:“不可多服,令人虚。”
❸ 《蜀本草》:“白薇为之使。”
❹ 《医学入门》:“伤风有汗及阴虚伤食者禁用。”
❺ 《本草经疏》:“表虚自汗,阴虚盗汗;肺虚有热,多痰咳嗽以致鼻塞;疮疱热甚,不因寒邪所郁而自倒靥;虚人伤风,气虚发喘;阴虚火炎,以致眩晕头痛;南方中风瘫痪,及平日阳虚腠理不密之人皆禁用。”

。【临床应用】:

配伍应用 ❶ 配石膏,治肺热咳嗽,气喘。

❷ 配桂枝,治感冒风寒,发热无汗,恶寒怕风,头痛、身痛之表证;风寒湿痺。
❸ 配浮萍,治身热恶风,头面四肢浮肿,小便不利。
❹ 配杏仁,治风寒犯肺,咳喘气逆。
❺ 配干姜、五味子,治寒饮喘咳。

❻ 配附子、木瓜,治风寒痺痛,关节肿痛。
❼ 配葛根、细辛、生姜,治外感风寒,恶寒发热,口渴身痛,呕逆。
❽ 配人参、黄芪、麦冬,治元气虚弱,感受风寒,汗不得出。
❾ 配黄芩、元参、桔梗,治身热汗出,喘促气粗,甚则鼻翼扇动,咳嗽痰黄而粘,胸闷口干,口渴欲饮。
❿ 配羌活、白术,治水肿而兼有表证者。 ⑾配杏仁、石膏、甘草,治急性气管、支气管炎,肺炎哮喘。 ⑿配连翘、赤小豆、桑白皮,治湿热黄疸,皮肤瘙痒。 ⒀配薏苡仁、桂枝、杏仁、甘草,治风湿筋骨痛,骨节酸痛,步履沉重。

⒁配车前草、白术,治肾炎水肿,小便不利。 ⒂配附子、细辛、橘核,治阴茎、睾丸疼痛。

方选和验方 ❶ 麻黄汤(《伤寒论》)治太阳病头痛发热,身腰骨节疼痛,恶风无汗而喘者:麻黄(去节)6g,桂枝(去皮)6g。甘草(炙)3g,杏仁(去皮、尖)9g加水先煎麻黄,去上沫,纳诸药再煎,去渣温服,覆取微汗。
❷ 麻黄杏仁甘草石膏汤(《伤寒论》)治太阳病发汗后,汗出而喘,无大热者:麻黄(去节)12g,杏仁(去皮、尖)6g,甘草(炙)6g,石膏25g。加水先煎麻黄,去上沫,再纳诸药煎服。

❸ 麻黄杏仁薏苡甘草汤(《金匮要略》)治一身尽痛,发热,日晡加剧,此病伤于汗出当风或久伤取冷所致:麻黄(去节,汤泡)15g,甘草(炙)30g,杏仁(去皮、尖、炒)10个,薏苡仁15g。同锉为粗末,每用12g,水煎服。

❹ 麻黄淳酒汤(《千金方》)治伤寒热出表,发黄疸:麻黄9g,用淳酒煮服。汗出即愈。冬月寒时用清酒煮,春月用水煮。
❺ 三拗汤(《太平惠民和剂局方》)治感冒风邪,鼻塞声重,语音不出;或伤风伤冷,头痛目眩,四肢拘倦,咳嗽多痰,胸满气短:麻黄、杏仁、某草各等份。

为粗末,每服15g,加生姜3片,水煎温服,以衣被盖睡,取微汗为度。
❻ 《太平圣惠方》:“治风痺荣卫不行,四肢疼痛:麻黄(去根、节)150g,桂心60g。捣细为末,加酒慢火煎之如饴。每服20g,热酒调服,不拘时候,以汗出为度。”
❼ 麻黄散(《世医得效方》)治伤风喘急,坐卧不安,痰涎壅塞,涕唾粘稠,手足冷痹:麻黄(去根、节)300g,肉桂(去皮)、款冬花、甘草(炙)、诃子皮各150g,杏仁(麸炒、去皮)90g。同锉粗末,每服9g,水煎服或沸汤点服。

❽ 加味三拗汤(《世医得效方》)治肺感寒邪发喘:麻黄30g,杏仁、五味子各20g,陈皮30甘草10g,辣桂15g。捣为粗末,每服12g,加生姜3片,水煎服。

❾ 麻黄人参芍药汤(《血证论》)治外感所致之吐血、衄血:麻黄、甘草(炙)、五味子各3g,人参、白芍、桂枝、黄芪、麦冬各9g。

水煎服。
❿ 桂枝麻黄各半汤(《徐灵胎先生医书全集》)治太阳病八九日,发热恶寒,热多寒少,脉微缓者,面色有热色,身皮发痒:桂枝30g,麻黄、芍药、甘草(炙)、生姜各30g,杏仁24个,大枣4个。水先煎麻黄,去上沫,内诸药再煎,去渣温服。

⑾寒喘散(《中医药物贴脐疗法》)治哮喘,胸闷,咳嗽,吐清稀白色痰,喉间痰鸣,伴恶寒,舌淡苔薄白,脉浮滑:麻黄15g,细辛、苍耳子、延胡索(醋炒)各4g,公丁香、吴茱萸、白芥子、肉桂各3g。同研为细末,取适量棉裹如小球,塞入脐孔内,手压使紧,外以胶布贴之,隔2天换药1次,10天为1疗程,用1~2个疗程。

⑿气管炎丸(《实用中药手册》)治外感风寒所致的气管炎,肺热咳嗽,气促哮喘,喉中发痒,胸膈满闷,多吐痰涎:麻黄、杏仁、甘草各250g,石膏300g。同研末作丸,每100粒重20g。

每次服30丸,开水送下,日服2~3次。 ⒀《全国中草药汇编》:“治支气管哮喘,属寒喘型:麻黄、桂枝各6g,细辛2g,五味子、生甘草各3g,射干、半夏各9g。水煎服。” ⒁《全国中草药汇编》:“治肺炎,小儿麻疹合并肺炎:麻黄6g,杏仁9g,石膏(先煎)15g,甘草5g。水煎服。

” ⒂《全国中草药汇编》:“治流行性喘憋性肺炎:麻黄、甘草各3g,生石膏15g,杏仁6g,北沙参14g。水煎服,2岁以下分5~6次服;3~4岁分3次服;5岁以上分2次服。轻者每日1剂,重者2剂。

” ⒃《全国中草药汇编》:“治急性肾炎:麻黄6g,生石膏(先煎)30g,连翘、泽泻、车前草、玉米须各12g,赤小豆、白茅根各15g。水煎服。” ⒄定喘固金丸(《全国中药成药处方集》)治外感咳嗽,恶寒发热,气喘胸闷,鼻塞声重:麻黄、杏仁、生石膏、甘草各500g,五味子、细辛、干姜各125g。共研为末,炼蜜为丸,每丸重6g,每服1丸,温开水下,日服2次。” ⒅保金丸(《全国中药成药处方集》)治咳嗽哮喘,胸闷痰多:麻黄(去节)、米醋、生梨汁、荸荞汁、藕汁、生姜汁、萝卜汁各180g,川贝母、茯苓、姜半夏、白术(炒焦)、冰糖各125g。先将麻黄与诸种汁挨次拌蒸晒干,再用黄酒拌炒,然后加入余药,共研为末,加冰糖烊化,和蜜为丸,如梧桐子大,每服9g,温开水送服,日3服。

” ⒆郝氏养肺丸(《全国中药成药处方集》)治咳嗽:麻黄、广陈皮、生甘草、百合各10g,姜半夏、五味子、生石膏、广木香、黄芩、款冬花各6g,罂粟壳、全瓜蒌各5g。同研为细末,炼蜜为丸,每丸重6g,每次服1丸,温开水送服,日3服。

(20)立效丸(《全国中药成药处方集》)治风寒咳嗽,气急带痰,痰中带血:麻黄40g,甘草、杏仁、罂粟壳各32g,白及12g,橘红、瓜蒌仁、桑白皮、法半夏、川芎、紫苏各20g。同研为细末,炼蜜作丸,每丸重6g,每服1丸,开水送下,日3服。 (21)江苏中医杂志 1981;(6):“治略血:麻黄、白果各10~30g,杏仁10g,生甘草6~10g。水煎服,每日1剂。

” (22)新医药学杂志 1979;(5):“治盗汗,肺结核盗汗:生黄芪,生牡蛎、浮小麦、生地、熟地各15g,麻黄、黄芩各9克,胡黄连6g。水煎服,每日1剂。

” (23)中医杂志 1980;(7):“治椎间盘突出症:麻黄、土鳖虫、川牛膝、甘草、乳香、没药、金蝎、僵蚕、苍术各720g,生马钱子6000g。将生马钱子置铁锅中加水,慢火煮沸8小时后取出,切成0.5~1mm之薄片,晒干,再将诸药研为细末,同混匀,过100目筛,分装胶囊,每粒内含散剂0.25g。

每晚临睡前服5丸,以后每晚增加1丸,至服药后出现腰痛或腰背有紧麻感反应时不再增加,但最多每次不超过10丸。用黄酒或白开水送服。

服药半个月后需停药2~3天。病情缓解后每晚减服1~2片,续服2周巩固疗效。

” (24)中西医结合杂志 1983;(3):“治坐骨神经痛:麻黄20~30g,薏苡仁20~50g,木通、党参、甘草各15g。水煎2小时,每天1剂分2次服,4天为1疗程。” (25)四川中医 1983;(5):“治遗尿症:麻黄、石菖蒲各9克,益智仁12g,桑螵蛸15g。水煎服。

6~9岁每日服2/3量,9~14岁服1剂。” (26)四川中医 1985;(11):“治狭窄性腱鞘炎:麻黄、红花各8g;桂枝、紫苏叶各15g,麻筋草20g,透骨草,鲜桑枝各30g。加水煎成2000~3000ml,熏蒸浸洗患处,每次30分钟,每日2次,熏后用纱布绷带和瓦形硬纸壳固定。” (27)中医杂志 1985;(12):“治哮喘:麻黄、生甘草各6g,杏仁、葶苈子各10g,生石膏、鱼腥草各24g,胆南星8g,大枣3枚。先煎生石膏,再放入麻黄及诸药浓煎,去渣取汁,加糖浓缩成糖浆。每次30ml,日服3次。原方水煎服亦可。” (28)江苏中医 1991;(10):“治痰热闭肺型小儿支气管肺炎,症见壮热多汗,口渴欲饮,咳嗽气喘,胸抬肩高,喉中痰鸣,口唇紫绀,便结尿涩,舌质红赤,苔黄腻,脉洪数:炙麻黄、生甘草各5g,杏仁、桃仁、葶苈子各10g,桑白皮12g,石膏(先煎)30g,虎杖20g,丹参、全瓜蒌各15g。水煎服,分2次服,日1剂。

” (29)江苏中医 1991;(10):“治血管神经性头痛:麻黄、桂枝、杏仁、大枣各10g,白芍、大黄各15g,炙甘草5g,生姜5片,水煎服,每日1剂。” (30)中医杂志 1991;(8):“治汗闭症,症见皮肤干燥无汗,发热、心悸,胸闷,舌苔淡白,脉细而缓:炙麻黄、炮附块、香白芷各5g,炙细辛、炙甘草各3g,桂枝、赤芍、桃仁、红花各10g,丹参30g,青葱管5支,红枣5枚,水煎服,每日1剂。” (31)吉林中医药 1988;(1):“治全身皮肤瘾疹,色红不鲜,瘙痒,口干舌红,舌苔微黄:麻黄、连翘各15g,桑白皮、杏仁、蝉蜕各10g,赤小豆50g,生姜3片,大枣7枚。水煎服,日1剂。” (32)麻黄细辛附子汤(河北中医 1987;(2))治阳痿:制附片10g,细辛5g,麻黄15g。

水煎服。 (33)麻黄细辛附子汤(河北中医 1987;(2))治阴茎痛:麻黄、川芎、桃仁各5g,制附片15g,细辛、炮姜各10g。

水煎服。 (34)麻黄细辛附子汤(河北中医 1987;(2))治睾丸痛:麻黄、桂枝各10g,细辛、独活、胡椒各5g,制附片15g。

水煎服。 (35)浙江中医杂志 1988;(11):“治小儿痉性喉炎:炙麻黄、荆芥各6g,杏仁(去衣)12g,射干25g,天冬、石膏各30g。水煎分2次服,晚上睡前服完,每日1剂。” (36)中西医结合杂志 1988;(6):“治小儿腹泻:麻黄2~4g,前胡4~8g,加水煎成300ml,加白糖少许,顿服或分2次服,每日1剂。” (37)浙江中医杂志 1988;(2):“治脱疽:麻黄10g,细辛6g,制附子60g。先以水约1500ml煮附子减至1000ml(约煮2小时),再纳入细辛,麻黄煮取30分钟,至药液约300ml时分2次服。

每日1剂。” (38)麻黄地龙汤(浙江中医杂志 1988;(2))治小儿哮喘:麻黄(蜜炙)、五味子各3g,广地龙、老苏子、车前子、僵蚕各6g,半夏(姜制)5g,佛耳草10g。水煎分2次服,每日1剂。

(39)黑龙江中医药 1991;(1):“治慢性支气管炎,久咳不愈:麻黄、苍耳子、肉桂各3g,制半夏2g,公丁香1g。共研为细末,过筛100目,用水调成糊状,敷于脐孔,每日1次。” (40)神秘汤加味(吉林中医药 1991;(1))治过敏性支气管哮喘:麻黄、甘草各10g,柴胡、赤芍各25g,苏叶、厚朴各20g,陈皮、杏仁、蝉蜕、葶苈子、当归各15g,细辛5g(后下)。

水煎服,分2~3次服,每日1剂。 (41)补虚定喘汤(吉林中医药 1991;(1))治喘肿病,虚喘兼实证:炙麻黄、丝瓜络、露蜂房、葶苈子各6~9g,熟地9~12g,炙黄芪,炒山药各15~30g,补骨脂、五味子、代赭石、炒地龙各9g。

每日1剂水煎两次,早晚各服1次。

病性较重者,每日服2剂。 (42)黑龙江中医药 1991;(3):“治骨槽风,症见腮颊漫肿疼痛,口噤难开,寒热往来:麻黄、大黄(酒蒸)、升麻各3g。制附片、香白芷、骨碎补各10g,细辛5g,制僵蚕、赤芍各12g,生石膏60g,玄参30g。

水煎服。每日1剂。” (43)加味麻黄连翘赤小豆汤(北京中医 1994;(3))治小儿急性肾炎:麻黄7g,连翘15g,杏仁9g,甘草8g,白梓皮(桑皮代)10g,赤小豆、野菊花、白茅根各20g,每日1剂,水煎服。” (44)清金宁胃汤(北京中医杂志 1994;(5))治小儿肺胃蕴热型咳嗽:炙麻黄、炙桑白皮、炙甘草、熟军各3g,杏仁、炙杷叶、研牛蒡子、炒莱菔子各6g,生石膏30g,连翘、芦根各10g。

为4~7岁用量,临证可加减用量。日服1剂,早晚服,小儿酌情1剂煎2次,分3~4次服完。

(45)麻杏石甘汤加味(云南中医杂志 1994;(2)治外感咳嗽:麻黄、杏仁、生石膏、甘草、桔梗、黄芩、银花、连翘。1日1剂,煎汤600ml。

每200ml,日服3次,1~2周为1疗程。 (46)麻黄车甘汤(吉林中医药 1995;(3))治急性腰扭伤:麻黄15g,黄芩、车前子(布包)、甘草各10g,水煎2次,取汁50ml分2次温服,每日1剂。服药后取微汁,以助药力发散。4剂为1疗程。

(47)强元肃肺汤(中国中医急症 1994;(2))治小儿急性支气管肺炎:麻黄4g,杏仁4g,石膏6~10g,甘草6g,苏子4g,莱菔子6~10g,白芥子4g,红参6~8g,麦冬4g,五味子4g,白术4g,干姜4~6g。加水150~200ml,煎至15~20ml,兑红糖15g顿服。频煎频服,连续4~6次,尽1剂。

重症或不能服药者可直肠缓慢推入。

加减:发热重者轻干姜重石膏。腹泻者轻石膏重干姜。腹胀者重莱菔子。干罗音多者加白芍6g,桂枝4g;湿罗音多者重用莱菔子,加葶苈子10g,并心衰者加大黄、附子各3g,病情危重者可1日2剂。

” (48)麻苍通络消肿汤(湖南中医杂志 1994;(7)治慢性软组织损伤:麻黄、苍术、牙皂、白芥子、卷白、楠木白(三股筋)各30g。(儿童剂量减半)加减:局部灼热者加薄荷、地龙各15g。上药煎汤,趁热熏洗患处,由上至下,由中间向周围扩散至15~30cm熏洗。1日3次,每次20~30分钟。

1剂洗3日,洗至患处发红、发软。3剂为1疗程,间隔3~5日后,再进下疗程。

单方应用 《本草衍义》:“治疮疱色黑者:麻黄(去节)15g。加蜜少许煮后去沫,再煎去渣,顿服之。

食疗 四川中医1984;(1):“治类风湿性关节炎:麻黄、牛蒡子各12g,雌乌鸡1只。将鸡捏死或吊死,勿见铁器,去毛,除内脏,入沙锅内,麻黄、牛蒡子用布包好入锅同炖至鸡肉熟,加少许食盐,去麻黄、牛蒡子,食肉。喝汤,早晚各服1次,2日服完。”

【医药家论述】:

❶ 缪希雍《本草经疏》:“麻黄,轻可去实,故疗伤寒,为解肌第一。专主中风伤寒头痛,温疟,发表出汗,去邪气者,盖以风寒湿之外邪,客于阳分皮毛之间,则腠理闭拒,荣卫气血不能行,故谓之实,此药清轻,故能去其壅实,使邪从表散也;咳逆上气者,风寒郁于多太阴也;寒热者,邪在表也;五脏邪气缓急者,五缓六急也;风胁痛者,风邪客于胁下也,斯皆卫实病也。卫中风寒之邪既散,则上来诸证自除矣。其曰消赤黑斑毒者,若在春夏,非所宜也。破癥坚积聚,亦非发表所能。洁古云:去荣中寒邪,泄卫中风热,乃确论也。多服令人虚,去散元之气故也。


❷ 李中梓《本草通玄》:“麻黄轻可去实,为发表第一药,惟当冬令在表真有寒邪者,始为相宜。虽发热恶寒,苟不头痛、身痛、拘急、脉不浮紧者,不可用也。

虽可汗之症,亦当察病之重轻,人之虚实,不得多服。盖汗乃心之液,若不可汗而误汗,虽可汗而过汗,则心血为之动摇,或亡阳,或血溢而成坏症,可不兢兢致谨哉。


❸ 贾所学《药品化义》:“麻黄,为发表散邪之药也。但元气虚及劳力感寒或表虚者断不可用。

若误用之,自汗不止,筋惕肉瞤,为亡阳症。若春公前后,元府易开,如患太阳经症,彼时寒变为温病,量为减用,入六神通解散,通解表里之邪,则荣卫和畅。若夏至前后,阳气浮于外,肤腠开泄,人皆气虚,如患足太阳经症,寒又变热症,不可太发汗,使其元气先泄,故少用四、五分入双解散,微解肌表,大清其里。

此二者乃刘河间《元机》之法,卓越千古。

若四时感暴风寒,闭塞肺气,咳嗽声哑,或鼻塞胸闭,或喘急痰多,用入三拗汤以发散肺邪,奏功甚捷。若小儿疹子,当解散热邪,以此同杏仁发表清肺,大有功效。


❹ 《本草正义》:“观于《本草经》主中风伤寒,去邪热气、除寒热之说,及后人并治风热斑疹,热痹不仁,温疟岚瘴。其旨可见。

且仲景麻黄汤之专主太阳病寒伤营者,以麻黄与桂枝并行,乃为散寒之用,若不与桂枝同行,即不专主散寒发汗也。抑麻黄之泄肺,亦不独疏散外来之邪也。苟为肺气郁窒,治节无权,即当借其轻扬,以开痹著,如仲景甘草麻黄汤之治里水黄肿,《千金》麻黄醇酒汤之治表热黄疸,后人以麻黄治水肿气喘,小便不利诸法,虽曰皆取解表,然以开在内之闭塞,非以逐在外之感邪也。又凡寒邪郁肺,而鼻塞音哑;热邪窒肺,而为浊涕鼻渊;水饮渍肺,而为面浮喘促;火气灼肺,而为气热息粗,以及燥火肉燔,新凉外束,干咳嗌燥等证,无不恃以为疏达肺金,保全清肃之要务,较之杏、贝苦降,桑皮、杷叶等之遏抑闭塞者,功罪大是不侔。

”麻黄性质最轻,气味又淡,《本草》虽曰苦温,亦因其功用而悬拟之,不过言其温和升发之义耳。乃流俗畏之,几以为大温大热之药,则李濒湖《纲目》性热一言误之也。……不知麻黄发汗,必热服温覆,乃始得汗,不加温覆,并不作汗,此则治验以来,凿凿可据者。

且亦惟寒邪在表,乃宜少少取汗,以解表邪之寒热。若用以泄肺开暗,亦且无取乎得汗,而秦效甚捷,何况轻扬之性,一过无余、亦必不能大汗频仍,留恋药力,酿为巨患。”
❺ 张锡纯《医学衷中参西录》:“受风水肿之症,《金匮》治以越婢汤,其方以麻黄为主,取其能祛风兼能便利小便也。愚平素临症用其方,服药后果能得汗,其小便即顿能利下,而肿亦遂消。东人三浦博士,用麻黄十瓦,煎成水100瓦,为一日之量,分三次服下,治慢性肾炎小便不利及肾脏萎缩小便不利,用之有效有不效,以其症之凉热虚实不同,不知用他药佐之以尽麻黄之长也。试观《金匮》水气门越婢汤,麻黄辅以石膏,因其脉浮有热也《脉浮固系有风、实亦有热);麻黄附子汤辅以附子。因其脉沉而寒出发;通变化裁,息息与病机相符,是真善用麻黄者矣。古方中用麻黄,皆先将麻黄煮数沸吹去浮沫,然后纳他药,盖以其所浮之沫发性过烈,去之所以使其性归和平也。麻黄带节发汗之力稍弱,去节则发汗之力较强,今时用者,大低皆不去节。

至其根则纯系止汗之品,本是一物,而根茎之性若是迥殊,非经细心实验,何以知之?陆九芝谓:麻黄用数分,即可发汗。此以治南方之人则可,非所论于北方也。盖南方气暖,其人肌肤薄弱,汗最易出,故南方有麻黄不过钱之语。北方若至塞外,气候寒冷,其人肌肤强厚,若更可外出劳碌,不避风霜之人,又当严寒之候,恒用至七八钱始得汗者。夫用药之道,贵因时、因地、因人,活泼斟酌,以胜病为主,不可拘于成见也。”

随便看

 

离鸟网收录3541549条中英文词条,其功能与新华字典、现代汉语词典、牛津高阶英汉词典等各类中英文词典类似,基本涵盖了全部常用中英文字词句的读音、释义及用法,是语言学习和写作的有利工具。

 

Copyright © 2004-2024 vtrois.com All Rights Reserved
更新时间:2026/4/19 16:28:28