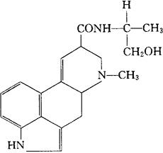
麦角新碱
C19H23N3O2=325.41 CAS-60-79-7 9,10-二去氢-N-[(S)-2-羟基-1-甲乙基]-6-甲基麦角灵-8β-甲酰胺。 9,10-Didehydro-N-[(S)-2-hydroxy-1-methylethyl]-6 methyl-ergoline-8β-carboxamide. 子宫收缩药。用于产后减少流血与促进子宫复原。 Ergonovine,Ergometrine,Ergobasine,Ergofocin,Ergosfefrine. 麦角新碱片,麦角新碱注射液。 INN,BP,DCIT,EP,EP,GDP,JP,NF PH,MI.  |