网站首页  词典首页


请输入您要查询的字词:

 

字词 麦冬
类别 中英文字词句释义及详细解析
释义 麦冬

【名称出处】:《本经》

【概况】:

异名 麦门冬(《江西通志》),杭麦冬、寸麦冬、寸冬、韭叶麦冬、地麦冬(四川)。

基源 为百合科沿阶草属和山麦冬属植物部分种类的干燥块根。沿阶草属全世界约50种,分布于亚洲东部及南部;中国有35种,其中5种药用。本属和麦门冬属很相似,常易混淆,其区别为子房下位,花被裂片著生于子房的近顶部,花丝短于花药。

原植物 正品麦冬Ophiopogon japonicus(L.f.)Ker-Gawl.又名沿阶草(通称)。

其他尚有山麦冬Liriope specata(Thunb.)Lour.和阔叶山麦冬Liriope platyphylla Wang et Tang

历史 《本经》始载之,列为上品。宋《图经本草》载:“所在有之,叶青如莎草,长及尺余,四季不凋,根黄白色,有须根,作连珠状。4月开淡红花,如红蓼花,实碧而圆如珠,江南出者叶大,或云吴地者尤胜。”《纲目》亦载:“古人惟用野生者,后世所用多是种莳而成。”《植物名实图考》也提及“滇有小园,护阶除者,皆麦门冬。”《江西通志》称其为沿阶草。

沿阶草是麦冬的一个别名,而不是指另一种植物,都应是指本种。中国古代和当前药材麦冬的原植物主要仍是此种。

形态 多年生常绿草本,茎短,植株高12~40cm。须根的中部或先端常有膨大部分,形成纺锤状肉质小块根。

叶丛生,窄尖线形,基部有多数纤维状的老叶残基;叶长15~40cm,宽1.5~4mm,先端急尖或渐尖,基部绿白色稍扩大,并在边缘具膜质透明的叶鞘,花葶比叶短,长7~15cm,总状花序穗状,顶生,长3~8cm,小苞片膜质,每苞片腋生1~3朵茶;花梗长3~4mm,关节位于中部以上或近中部;花微下垂,花被片6,不展开,披针形,长约5mm,淡紫色或白色;雄蕊6,著生在花被片的基部.花药三角状披针形;子房半下位,3室,花柱长约4mm,因基部宽阔而略呈圆锥形。

浆果球形,直径5~7mm,早期绿色,成熟后暗蓝色。

花期5~8月,果期7~9月。(图见《中药志》.第1册.第2版.428页.图335)

生境与分布 生于海拔2000m以下的山坡阴湿处,林下或溪边。

现四川绵阳地区及浙江杭州、余姚、浒山、块墩、肖山有大量栽培。

山麦冬与麦冬的主要区别在于:叶宽4~8mm;花葶通常长于或等于叶;花直立,花丝与花药等长或更长,花药矩圆形,长约2mm,几等长于花丝,子房上位。花期5~7月,果期8~10月。(图见《中国植物志》.第15卷.135页图版42’1-2)生于海拔50~1400m的山坡、山谷林下、路旁或湿地。除中国东北、内蒙古、青海、新疆、西藏外,其它地区广泛分布和栽培。日本、越南也有分布。

阔叶山麦冬与麦冬、山麦冬的主要区别在于:植株地下无走茎;叶宽8~22mm,具脉9~11条。花直立,花丝与花药等长或更长,花药先端为钝头。花期7~8月,果期9~10月。

(图见《中国植物志》第15卷.135页,图版42:3~4)生于海拔100~1400m的山地、山谷的林下或潮湿处。分布于河南、山东、安徽、浙江、福建、江西、广东、广西、四川、贵州、云南。日本也有分布。

。【生药】:

栽培 宜栽于温和潮湿的环境,能耐阴,忌高温。

要求在土层深厚、肥沃疏松、排水良好的微碱性砂质壤土栽培。用分株繁殖,在4~5月收麦冬时,选取已割去块根和部分叶尖的健壮苗丛作种苗,剪去残留须根和部分老茎节,留下3~5个茎节,以断面出现白心(俗称菊花心),叶片不散为度。栽前种苗需浸入水中吸足水分后,按行株距26×17cm穴栽,深约4cm,每穴齐栽10~12株苗。栽后覆土压实,使苗直立稳固,注意浇水,保持土壤湿润,以利苗的成活。

生长期间应勤除杂草,重施春、秋肥,以氮、磷、钾混合使用,冬季以草木灰为主进行撒施,利于防冻保暖和植株生长。病害有黑斑病,可用1∶1∶80的波尔多液浸种消毒或喷雾植株。

虫害蝼蛄,用95%敌百虫做成毒饵诱杀。

采集 商品大多为栽培品。

浙江于栽培后第3年立夏时采挖,称“杭麦冬”;四川于栽培第2年清明后采挖,称“川麦冬”。

野麦冬多在清明后挖取,习称“土麦冬”。麦冬挖起后,剪下块根,洗净泥土,暴晒3~4天,堆通风处,使其返潮,蒸发水气,约3日,摊开再晒,如此反复2~3次。晒干后,除净须很、杂质。

药材主产于浙江杭州、余姚、肖山以及四川绵阳地区。贵州、云南、广西、安徽、湖北、福建等地也有生产。

鉴别

性状 块根纺锤形或长圆形,两端略尖,长1.5~3cm,直径0.3~0.6cm;表面黄白色或淡黄色,有不规则的细纵纹。未干透时,质较柔韧,干后质硬脆,易折断,断面黄白色,糯性,中心有细小圆形中柱。

气微香,味微甜、涩,嚼之有粘性。以肥大、黄白色、半透明、质柔、嚼之发粘者为佳。

显微 块根横切面:表皮为1列长方形细胞,有时向外分化成表皮毛;根被为1~5列细胞,有纹孔。皮层宽广,外皮层细胞外壁及侧壁微木化,表面观有类长圆形分泌细胞,与长方形薄壁细胞垂直间隔排列,含草酸钙针晶束和粘液质,紧接内皮层外侧有1~2列石细胞,较内皮层细胞稍大,内壁及侧壁增厚,纹孔细密;内皮层细胞较小,壁木化增厚,有通过细胞。中柱小,中柱鞘为1~2列薄壁细胞;韧皮部束15~24个,与木质部束相间排列,各束木质部内侧由木化组织连接成环层。髓薄壁细胞非木化。(图见《生药学》.452页.图264) 粉末:淡黄棕色。 ❶ 草酸钙针晶成束或散在,长24~50μm,有的较粗大呈细柱状,长至88μm,直径至13μm。

❷ 石细胞常成群,类方形或长方形,直径30~64μm,壁厚至1.6μm,有的一边甚薄,纹孔密,孔沟较粗。
❸ 内皮层细胞长方形或长条形,均匀增厚或一边稍薄,木化,孔沟明显。此外有木纤维、导管、管胞。

(图见《中药材粉末显微鉴定》.97页.图42)

理化 取样品粉末2g,用乙醇回流提取4小时,提取液回收乙醇至于,加3%硫酸10ml水解4小时,调pH至中性,水浴蒸干,残渣用氯仿溶解,点于硅胶GF254板上,以鲁斯可皂甙元、薯蓣皂甙元、β-谷甾醇为对照,以正己烷-乙酸乙酯(1∶1)为展开剂,展开后,喷10%硫酸溶液,加热显色。(图见《中药材薄层色谱鉴别》.图159)

加工炮制 常用的炮制品有生麦冬和朱砂制麦冬。 ❶ 生麦冬 取原药材,除去杂质,洗净,微润,切碎或轧扁,干燥。

❷ 朱砂制麦冬 取生麦冬,淋水少许微润,加朱砂拌匀,取出,晾干。每100kg麦冬,用朱砂粉2g。

此外,有的地方用米制麦冬,蜜制麦冬。

贮藏 置阴凉干燥处,防潮。

。【化学】:

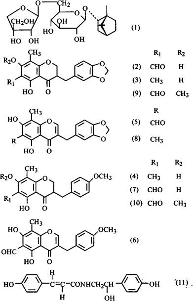
麦冬的甾体皂甙类化合物:从川麦冬块根中已分得1)薯蓣皂甙元(Diosgenin)-3-O-[α-L-吡喃鼠李糖(1→2)-β-D-吡喃木糖(1→3)]-β-D-吡喃葡萄糖甙、2)薯蓣皂甙元-3-O-[α-L-吡喃鼠李糖(1→2)][(3-O-乙酰基)-β-D-吡喃木糖(1→3)]-β-D-吡喃葡萄糖甙[1[、3)薯蓣皂甙元-3-O[(2-O-乙酰基)-α-L-吡喃鼠李糖(1→2)][β-D-吡喃木糖(1→3)]-β-D-吡喃葡萄糖甙、4)假叶树皂甙元(Ruscogenin)-1-O-[α-L-吡喃鼠李糖(1→2)][β-D-吡喃木糖(1→3)]-β-D-吡喃葡萄甙[2];从浙麦冬中已得到5)麦冬皂甙元(Ophiogenin)-3-O-α-L吡喃鼠李糖基-(1→2)-β-D-吡喃葡萄糖甙[3]

麦冬中龙脑类化合物:1-龙脑(1-Borneol)-6-O-β-D-呋喃芹糖(1→6)-β-D-吡喃葡萄糖式(1)(川麦冬)[2]、龙脑-7-O-α-吡喃阿拉伯糖基(1→6)-β-D-吡喃葡萄糖甙(浙麦冬)[3]、1-龙脑葡萄糖甙、硫酸龙脑钙(未注产地)[4]

本品所含高异黄酮类化合物:浙麦冬中已得到6-醛基麦冬异二氢黄酮A(6-Aldehydo-isoophiopogonanone A)(2)、甲基麦冬异二氢黄酮A(3)、甲基麦冬异二氢黄酮B(4)、6-醛基麦冬异黄酮A(6-Aldehydoophiopogonone A)(5)、6-醛基麦冬异黄酮B(6)[5]、6-醛基麦冬异二氢黄酮B(7)、甲基麦冬异黄酮A(8)[6];从麦冬(未注产地)尚得到6-醛基-7-甲氧基麦冬异二氢黄酮A(9)[7]、6-醛基-7-甲氧基麦冬异二氢黄酮B(10)等[4]

麦冬另含酰胺化合物(11)、β-谷甾醇-β-D-葡萄糖甙[4],麦冬多糖[8]

麦冬尚含微量挥发油,其组成有樟脑、芳樟醇、松油醇、β-广藿香烯(β-Patehoulene)、长叶烯(Longifolene)、香附烯(Cyperene)、葎草烯(α-Humulene)、α-广藿香烯、愈创木醇(Guaiol)、4-羟基茉莉酮(Jasrnololone)等[9]

麦冬中的无机元素:有Ba、Be、Ce、Co、Cr、Cu、Ga、La、L1、Mn、Al、Fe、Mg、Ca、Nb、Ni、Pb、P、Sc、Sr、Th、Ti、V、Y、Yb、Zn、K、Na,有的元素因麦冬产地而有差异[10]

湖北麦冬系湖北山麦冬Liriope spicata var,prolifera Y,J.Ma的块根,为栽培品,其销售量占中药麦冬商品的31%左右,从中已分出12种皂甙,鉴定有(25S)假叶树皂甙元(Ruscogenin)-1-O-β-吡喃岩藻糖-3-O-dL-吡喃鼠李糖甙、(25S)假叶树皂甙元-1-O-β-吡喃木糖-3-O-α-L-吡喃鼠李糖甙、(25S)假叶树皂甙元-1-O-α-L-吡喃鼠李糖(1→2)-β-D-吡喃木糖甙、(25S)-假叶树皂甙元-1-O[(α-O-乙酰基)-α-L-吡喃鼠李糖(1→2)][β-D-吡喃木糖(1→3)]-β-D-吡喃岩藻糖甙、(25S)假叶树皂甙元-1-O[(α-O-乙酰基)-α-L-吡喃鼠李糖(1→2)][β-D-吡喃木糖(1→3)]-β-D-吡喃岩藻糖甙、黾状薯蓣皂甙元(Yamogenin)-1-O-[3-O-乙酰基)-α-L-吡喃鼠李糖(1→2)][β-D-吡喃木糖(1→3)]-β-D-吡喃葡萄糖甙及β-谷甾醇-β-D-吡喃葡萄糖甙[14],[15]

短葶山麦冬Linope muscari(Decne.)Bai-ley亦为栽培品,其产量约占中药麦冬商品的7%,从其块根中分得六种皂甙,鉴定有假叶树皂甙元-1-O-β-吡喃葡萄糖(1→2)-β-D-吡喃岩藻糖甙及假叶树皂甙元-1-O[β-D-吡喃葡萄糖(1→2)][β-D-吡喃木糖(1→3)][β-D-吡喃岩藻糖甙及β谷甾醇-β-D-吡喃葡萄糖甙[14,15]

又从日本京都麦冬栽培变种 Ophiopogon japonicum KerGawl.Cv.Nanus。

新鲜块根中分离鉴定有八种甾体皂甙化合物、二种单萜(1-龙脑)甙化合物及九种高异黄酮化合物[16]

附 日本小叶麦冬O.japonicus Ker-Gawl.var.genuinus Maxim.块根中有麦冬皂甙(Ophiopogonin)A、B、B′、C、C′、D、D′。麦冬皂甙A、B、C、D为假叶树皂甙元的甙,B′、C′、D′则为薯蓣皂甙元的甙;它们糖的部分为葡萄糖、木糖、鼠李糖及岩藻糖。麦冬皂甙A、B、B’、C、C′、D、D′,多为皂甙连接二三个不同的糖的双糖甙或三糖甙[11]

余伯阳曾以麦冬皂甙B、D(Ophiopogonin B、D)为对照品进行各地川麦冬、浙麦冬中的含量测定,不同产地、不同规格商品有所差异,以一年生的浙麦冬块根含麦冬皂甙B、D量较高[12];又从日本小叶麦冬中分得多种高异黄酮类化合物[13]。

参考文献 [1] 华西药学杂志 1987;2(2):57 [2] 华西药学杂志 1987;2(3):121。

1993;8(1):32 [3] Phytochemistry 1990;29 (5):1696 [4] 药学杂志(日) 1983;103:1133。 1987;107:780 [5] 药学学报 1987;22(9):679 [6] 中草药 1991;22(2):60。 1988;19(4):10 [7] 中国中药杂志 1989;14(6):359 [8] 中草药 1993;24(1):30 [9] 药物分析杂志 1991;11(1):21 [10] 南京药学院学报 1986;17(4):286。 1987;18(2):117 [11] ChemPharm Bull 1977;25:3049 [12] 中草药 1991;22(8):345 [13] Chem Pharm Bull 1980;28(5):1477。 1980;28(7):2039 [14] Chem Pharm Bull,1990;38(7):1931 [15] 余伯阳博士论文中国药科大学 1989年63~78页 [16] Chem Pharm Bull,1993;41(2):391。4l(3):566。【药理】:

❶ 对心血管作用 麦冬注射液舌静脉注入1g/100g体重有改善大鼠左心室功能与抗休克作用,但作用短暂,再次给少量麦冬注射液可明显延长作用时间[1]

麦冬注射液iv 0.6~1.0g/100g体重能迅速使氯化钡引起的大鼠双向性心动过速的心率失常转为正常窦性心律;对乌头碱引起的大鼠心律失常具有防止发生的作用;对离体的蟾蜍心脏作用的实验表明麦冬任氏液在低浓度(1∶100)时有改善心肌收缩力的作用;在高浓度时(1∶10)则抑制心肌收缩力[2]。麦冬注射液iv 0.2g/100g体重对脑垂体后叶素0.5u/kg iv引起清醒与麻醉大鼠急性心肌缺血的初期T波增高及其后T波低平均有保护作用,iv 0.6g/kg可对抗iv 0.1ml/kg 0.1%肾上腺素诱发缺血性在体兔心的心律失常[3]。麦冬煎剂及水提物ip 1.5g/kg有提高小鼠耐缺氧能力,0.5g可增加离体家免冠脉流量,抑制心肌,减慢心率作用;剂量加到1.5~2.0g可使心跳暂停,并能对离体兔主动脉条有舒张作用;麦冬煎剂0.25g/kg iv可使麻醉狗血压降低,扩张外周血管,大剂量可加大脉压差;其乙醚提取物1/20~1/10的浓度对离体蛙心有强心作用,大剂量则抑制[4]。麦冬注射液ip 5g/kg对实验性心肌梗塞家兔的心率无影响,但可促进心肌损伤愈合和缩小梗塞范围及坏死区域,动物长时间游泳后心肌细胞可出现缺氧性显微结构的病理变化,而麦冬注射液ip50g/kg能显著减少这一心肌细胞缺氧性损害。

另外,又能使已显著受损的心肌细胞较快地获得修复,促进其愈合,减少心肌细胞坏死[5]。另有报道[6],麦冬水提物1%~20%能明显降低豚鼠右心房的自律性,并呈量效依赖关系,且可逆;2%与6%能降低心房肌兴奋性,在0.2%~20%浓度范围内,心肌收缩力随浓度增加而逐渐减弱,但对乳头肌有效不应期却无明显影响[6]

麦冬注射液40g/人iv7d能显著提高气阴两虚冠心病患者的心肌收缩力,保护缺血时心泵功能;动物实验表明麦冬注射液10g/kg iv能改善犬Vpm,SV,CO及LVW等指标,并能防止因结扎LAD而造成的心脏排血功能减退[7]
❷ 镇静、抗惊厥作用 麦冬煎剂ig 0.2g/10g体重,ip和im 0.1g/10g体重可使小鼠自发活动明显减少,表现出镇静作用;麦冬正丁醇粗提物及乙酸乙酯粗提物ip 0.1g/10g体重同样具有镇静作用;麦冬煎剂ip0.1g/10g体重对小鼠戊巴比妥纳阈下催眠量协同作用,能增强戊巴比妥钠催眠作用,对氯丙嗪的镇静也有协同增强作用,并能拮抗咖啡因的兴奋作用,ip 0.4g/10g体重还有轻度对抗回苏灵引起的小鼠惊厥作用[8]
❸ 降血糖 麦冬多糖100mg/kgig,对正常小鼠有明显降血糖作用,200mg/kgig,能明显降低四氧嘧啶糖尿病小鼠血糖水平[9]。

❹ 对免疫功能的影响 麦冬多糖10mg/kgip连续7d,可增加小鼠脾重,加强小鼠碳粒廓清作用,促进小鼠血清溶血素抗体形成,10mg/kgip,连续8d,可对抗环磷酰胺和60Co γ射线引起的小鼠白细胞数的减少[10]

毒性 麦冬注射液ip对小鼠的LD50为20.606±7.075g/kg[2]。麦冬煎剂ip对小鼠的LD50为24.14±1.48g/kg[4]

参考文献 [1] 第一军医大学学报 1989;9(1):7 [2] 中草药 1982;13(9):27 [3] 第一军医大学学报 1984;4(1,2):41 [4] 广州中医学院学报 1985;2(1):39 [5] 上海中医药杂志 1983;(7):44 [6] 内蒙古药学 1987;6(4):10 [7] 上海中医药杂志 1985;(12):3 [8] 广州中医学院学报 1986;3(2/3):28 [9] 中草药 1993;24(1):30 [10] 中国药科大学学报 1991;22(5):286

。【药性】:

性味 甘、微苦,寒。

❶ 《本经《:“甘,平。”
❷ 《别录》:“微寒。”
❸ 《医学启源》:“寒,微苦。”
❹ 《医林纂要》:“甘、淡、微苦,微寒。”

归经 入肺、胃、心经。 ❶ 《汤液本草》:“入手太阴经。”
❷ 《本草蒙筌》:“入手太阴、少阴。”
❸ 《本草经疏》:“入足阳明,兼入手少阴、太阴。”

功效 养阴润肺,清心除烦,益胃生津。

主治 肺燥干咳,吐血,咯血,肺痿,肺痈,虚劳烦热,消渴,热病津伤,咽干口燥,便秘。 ❶ 《本经》:“主心腹结气,伤中伤饱,胃络脉绝,羸瘦短气。”
❷ 《别录》:“疗身重目黄,心下支满,虚劳客热,口干烦渴,止呕吐,愈痿蹶,强阴益精,消谷调中,保神,定肺气,安五脏,令人肥健。”
❸ 《药性论》:“治热毒,止烦渴,主大水面目肢节浮肿,下水。治肺痿吐脓,主泄精。”
❹ 《本草拾遗》:“治寒热体劳,下痰饮。”
❺ 《日华子本草》:“治五劳七伤,安魂定魄,时疾热狂,头痛,止嗽。”
❻ 《本草衍义》:“治心肺虚热。”
❼ 《珍珠囊》:“治肺中伏火,生脉保神。”
❽ 《医学启源》:“《主治秘诀》云,治经枯乳汁不下。”
❾ 《用药心法》:“补心气不足及治血妄行。”
❿ 《南京民间药草》:“治妇女湿淋。” ⑾《福建民间草药》:“能清心益肝,利尿解热,治小便淋闭,小儿肝热。” ⑿《安徽药材》:“治咽喉肿痛。”

用法用量 内服:煎汤,6~12g;或入丸、散。

使用注意 凡脾胃虚寒泄泻,胃有痰饮湿浊及暴感风寒咳嗽者均忌服。

【临床应用】:

配伍应用 ❶ 配天冬,治肺阴亏损劳热咯血以及燥咳痰粘。

❷ 配沙参、玉竹,治胃阴不足。
❸ 配生地、竹叶心、黄连,治温病邪热入营,身热夜甚,烦热不安。
❹ 配酸枣仁、生地,治阴虚有热,心烦失眠。

❺ 配生地、玄参,治阴虚肠燥,大便秘结。
❻ 配知母、天花粉,治消渴。
❼ 配地骨皮,治骨蒸肺痿。

❽ 配人参、五味子,治暑热汗多,耗气伤液,或久咳肺虚,气阴两伤。
❾ 配人参、芦根,治呕逆。

❿ 配桔梗、甘草,治肺痈。 ⑾配乌梅,治消渴。 ⑿配生地黄,治衄血不止。 ⒀配人参、陈皮、厚朴,治小儿多哕,心胸烦闷。

⒁配石膏、炙甘草,治小儿伤寒,烦热头痛。

方选和验方 ❶ 麦门冬汤(《金匮要略》)治胃有虚热,津液不足,气火上逆呕吐,阴虚肺痿,咳唾涎沫,气喘短气,咽干口燥,舌干红少苔,脉虚数:麦门冬210g,半夏30g,人参、甘草各28g,粳米9g,大枣12枚。上6味,以水2400ml,煮取1200ml,温服200ml,日3夜1服。

❷ 麦门冬散(《备急千金要方》)治缺乳:麦门冬、通草、石钟乳、理石各等份。

为末,每服9g,食后酒送服,日3次。
❸ 麦门冬散(《千金翼方》)治金疮乳痈,诸肿烦满:麦门冬、石膏、柏子仁、炙甘草各15g,桂心0.3g。为粗末,每服9g,酸浆和服,日4次(昼3夜1)。
❹ 麦门冬丸(《外台秘要》)治消渴:麦门冬、玉竹、黄连、石膏、茯苓各30g,天花粉、生姜屑各40g.人参、龙胆草、黄芩、地骨皮各22g,枳实19g,升麻15g,茅根30g,粟米9g。

先煮后2味熟烂,余药研末,加蜜为丸,如梧桐子大。每服10丸,以后2味汁送服,1日2次。

❺ 麦门冬丸(《普济方》)治虚热上攻,脾肺有热,咽喉生疮:麦门冬30g,黄连15g。上为末,蜜丸如梧桐子大。

每服30丸,食前麦门冬汤下。
❻ 麦门冬汤(《圣济总录》)治肺痈涕唾涎沫,吐脓如粥:麦门冬(去心,焙)60g,桔梗(去芦头)150g,甘草(炙,锉)1g。上3味粗捣筛,每服6g,水200ml,青蒿心叶10片,同煎至7分.去渣温服。稍轻者粥饮调下亦得。

❼ 麦门冬汤(《圣济总录》)治骨蒸肺痿,四肢烦热,不能食,口干渴:麦门冬(去心,焙)、地骨皮各150g。上2味粗捣筛,每服15g。先以水400ml,煎小麦15g,至300ml,去麦入药,煎至200ml,去渣,分温2服,空腹食后各一。
❽ 麦门冬饮子(《太平圣惠方》)治吐血、衄血不止:生麦门冬汁、生刺蓟汁、生地黄汁各500ml。

3汁相和,于锅中略暖过,每服150ml,调伏龙肝末3g服之。
❾ 麦冬养荣汤(《血证论》)治脾之阳气不旺,无以统运阴血,唾血,心战,脉弱,四肢清冷,饮食不健,自汗身热:人参、麦门冬、当归、白芍、生地黄、陈皮、黄芪各9g,知母6g,五味子、甘草各3g,水煎服。

❿ 冬汤(《医学心悟》)治上消,渴而多饮:天门冬(去心)6g,麦门冬(去心)9g,天花粉、黄芩、知母、荷叶各3g,人参、甘草各1.5g。水煎服。

⑾沙参麦冬饮(《温病条辨》)治燥伤肺胃,津液亏损,咽干口渴,干咳少痰,舌红少苔:沙参、麦门冬各9g,玉竹6g,生甘草3g,桑叶、白扁豆、天花粉各4.5g。水煎服,日2次。 ⑿麦冬麻仁汤(《温病条辨》)治疟伤胃阴,不饥,不饱,不便,潮热,得食则烦热愈加,津液不复:麦冬15g(连心),火麻仁12g,生白芍12g,何首乌9g,乌梅肉6g,知母6g。水800ml,煮取300ml,分3次温服。 ⒀门冬清肺饮(《内外伤辨惑论》)治脾胃虚弱,气促气弱,精神短少,衄血吐血:紫菀茸4.5g,黄芪、白芍药、甘草各3g,人参、麦门冬各1.5g,当归身1g,五味子3个。为粗末,分作2服,水煎,食后服。 ⒁生脉散(《内外伤辨惑论》)治热伤元气,肢体倦怠,气短口渴,汗出不止;或心肺气阴不足,咳嗽喘促,肢体痿弱,脚软眼黑:人参15g,麦门冬、五味子各9g。水煎服。

⒂生麦门冬煎(《太平圣惠方》)治鼻衄不止,心神烦闷:生麦门冬汁、生地黄汁、生藕汁各300ml,生姜汁少许,白药末30g,以上四种汁和开水200ml同煎三五沸,下白药末搅匀,分2服。

⒃增液汤(《温病条辨》)治阳明温病,津液不足,大便秘结,口渴,舌干红,脉细稍数或沉而无力:玄参30g,麦门冬、生地黄各24g。水800ml,煮取300ml,口干则与饮,令尽,不便,再作服。 ⒄复方二冬汤(江苏医药 1977;(12))治百日咳:天冬、麦冬、甘草各9g,黄芩,蒌仁、百部、葶苈子、半夏各6g,麻黄、胆南星、地龙各3g。

2~5岁患儿1剂2天量,6~10岁患儿1剂1天量,11岁以上患者视病情可日服2剂。 ⒅麦门冬汤加减(吉林中医药 1987;(4))治经行鼻衄:西洋参、地骨皮、麦冬、山药、白芍、当归、怀牛膝、丹皮各10g,半夏、甘草、黑荆芥各6g,大枣5枚。

水煎服。 ⒆咽喉茶(浙江中医杂志 1985:(1))治慢性咽炎:金银花、麦冬各15g,杭菊花、桔梗各10g,木蝴蝶、粉甘草各3g,胖大海3枚。上为1日量。用时置茶缸中,冲开水代茶频饮。

10日为1疗程。 ⒇《全国中草药汇编》:“治肺胃阴伤、咽干咳嗽:麦冬12g,半夏、人参、粳米、大枣各9g,甘草6g。水煎服。” (21)《全国中草药汇编》:“治糖尿病(上消):党参、麦冬、知母各9g,竹叶、大花粉各15g,生地12g,葛根、茯神各6g,五味子、甘草各3g。水煎服。” (22)《全国中草药汇编》:“治萎缩性胃炎:麦冬、党参、北沙参、玉竹、天花粉各9g,乌梅、知母、甘草各6g。水煎服。” (23)凉血解毒汤(天津医药1977;(11))治红斑性肢痛:初发轻症:白芍6g,双花6g,川芎3g,生地9g,麦冬3g,土茯苓12g,白鲜皮12g,防风6g。屡发重症:生地9g,元参6g,麦冬3g,丹皮6g,白芍6g,双花6g,黄芩9g,栀子9g,白鲜皮12g,土茯苓9g。

(24)麦门冬汤(浙江中医杂志 1984;(2))治胃脘痛:麦冬、半夏、人参、甘草、粳米、大枣。

加减:阴虚明显者加北沙参、生玉竹、天花粉;胃脘灼热明显者,加左金丸;吐酸明显者加海螵蛸、瓦楞子;大便干结者加生首乌、火麻仁;兼见瘀血内阻者加丹参、赤芍、田三七。

单方应用 ❶ 《济生方》:“治衄血不止:麦门冬、生地黄,每服30g,水煎。”
❷ 《本草衍义》:“治虚劳客热:麦门冬煎汤频饮。”
❸ 《活人心统》:“治吐血衄血:麦门冬(去心)500g,捣取自然汁,入蜜30g,分作2服,即止。”
❹ 《兰室宝鉴》:“治齿缝出血:麦门冬煎汤漱之。”
❺ 《熊氏补遗》:“治乳汁不下:麦门冬(去心,焙)为末,每用9g,酒磨犀角约3g许,温热调下,不过2服,便下。”
❻ 《中草药学》:“治血热吐血,衄血,齿缝出血:麦门冬15~30g,煎服;或配生地黄等量煎服;亦可用鲜麦门冬90~150g,捣汁,加蜜30~60g,分2次服。”
❼ 人民军医 1983;(4):“治口渴:口含麦冬1~2块。”

食疗 ❶ 麦门冬粥(《饮食治疗指南》)治肺痿、肺阴虚之咳嗽、反胃:麦门冬15g煮汁,待粥半熟,以汁和入,煮熟食。
❷ 杏仁麦冬饮(《中国药膳大全》)治小儿麻疹后期,余热未尽,时有咳嗽,唇舌干燥:杏仁6g,麦门冬10g。将杏仁去尖、皮,打碎;麦门冬洗净,一同放入铝锅内,加水适量,置武火上烧沸,用文火煮约15分钟,滤去渣,稍凉,装入罐中即成。
❸ 三汁饮(《中国药膳大全》)治咽干,咽食艰难,反胃呕逆:麦门冬10g,生地黄15g,藕适量。将麦门冬、生地黄洗净,生地黄切片,一同放入铝锅内,加水适量,置武火上烧沸,用文火煎煮20分钟,滤去渣,留汁待用。将藕洗净,切成0.2cm厚的片,放入铝锅内,加水适量,置武火上烧沸,用文火煮熬30分钟,滤去渣,留汁。

将两汁合并,装入罐(瓶)中即成。。

【医药家论述】:

❶ 寇宗奭:“麦门冬治肺热之功为多,其味苦,但专泄而不专收,寒多人禁服。治心肺虚热及虚劳,与地黄、阿胶、麻仁同为润经益血复脉通心之剂,与五味子、拘杞子同为生脉之剂。”
❷ 张元素:“麦门冬治肺中伏火,脉气欲绝者,加五味、人参,三味为生脉散,补肺中元气不足。”
❸ 李杲:“六七月间湿热方旺,人病骨乏无力,身重气短,头旋眼黑,甚则痿软,故孙真人以生脉散补其天元真气。脉者人之元气也。

人参之甘寒,泻热火而益元气。麦门冬之苦寒,滋燥金而清水源。五味子之酸温,泻丙火而补庚金,兼益五脏之气也。”
❹ 李时珍《纲目》:“按赵继宗儒医精要云,麦门冬以地黄为使,服之令人头不白,补髓通肾气,定喘促,令人肌体滑泽,除身上一切恶气不洁之疾,盖有君而有使也。若有君无使,是独行无功矣。此方惟火盛气壮之人服之相宜,若气弱胃寒者,必不可饵也。”
❺ 倪朱谟《本草汇言》:“麦门冬,清心润肺之药也。主心气不足,惊悸怔忡,健忘恍惚,精神失守;或肺热肺燥,咳声连发,肺痿叶焦,短气虚喘,火伏肺中,咯血咳血;或虚劳咳热,津液干少;或脾胃燥涸,虚秘便难,此皆心肺肾脾元虚火郁之证也。

然而味甘气平,能益肺金,味苦性寒,能降心火,体润质补,能养肾髓,专治劳损虚热之功居多。”
❻ 贾所学《药品化义》:“麦冬,润肺,清肺。盖肺苦气上逆,润之清之,肺气得保,若咳嗽连声,若客热虚劳,若烦渴,若足痿,皆属肺热,无不悉愈。


❼ 陈士铎《本草新编》:“麦门冬,泻肺中之伏火,清胃中之热邪,补心气之劳伤,止血家之呕吐,益精强阴,解烦止渴,美颜色,悦肌肤,退虚热,解肺燥,定咳嗽,真可持之为君而又可借之为臣使也。”
❽ 邹澍《本经疏证》:“《伤寒论》、《金匮要略》用麦门冬者五方,惟薯蓣丸药味多,无以见其功外,于炙甘草汤,可以见其阳中阴虚,脉道泣涩;于竹叶石膏汤,可以见其胃火尚盛,谷神未旺;于麦门冬汤,可以见其气因火逆;于温经汤,可以见其因下焦之实,成上焦之虚。虽然下焦实证,非见手掌烦热,唇口干燥,不可用也;上气因于风,因于痰,不因于火,咽喉利者,不可用也;虚羸气少,不气逆欲吐,反下利者,不可用也;脉非结代,微而欲绝者,不可用也。盖麦门冬之功,在提曳胃家阴精,润泽心肺,以通脉道,以下逆气,以除烦热,若非上焦之证,则与之断不相宜。”
❾ 张德裕《本草正义》:“麦冬,其味大甘,膏脂浓郁,故专补胃阴,滋津液,本是甘药补益之上品。凡胃火偏盛,阴液渐枯,及热病伤阴,病后虚羸,津液未复,或炎暑燥津,短气倦怠,秋燥逼人,肺胃津耗,麦冬寒润,补阴解渴,皆为必用之药。但偏于阴寒,则惟热炽液枯者,最为恰当,而脾胃虚寒,清阳不振者,亦非阴柔之品所能助其发育生长。

况复膏泽厚腻,苟脾运不旺,反以碍其转输而有余,而湿阻痰凝,寒饮停滞者,固无论矣。《本经》、《别录》主治,多就养胃一层立论,必当识得此旨,方能洞达此中利弊。

不然者,拘执伤饱支满,身重目黄等说,一概乱投,自谓此亦古人精义所在,岂不益增其困?《别录》又以麦冬主痿蹶者,正是《内经》治痿独取阳明之意。胃主肌肉,而阳明之经,又自足而上,阳明经热,则经脉弛缓而不收,胃液干枯,则络脉失润而不利,补胃之津,而养阳明之液,是为治痿起废之本。

但亦有湿流关节,而足废不用者,则宜先理其湿,又与滋润一法,遥遥相对,不知辨别,其误尢大。《别录》又谓其定肺气,而后人遂以麦冬为补肺主药,盖以肺家有火,则滋胃之阴以生肺金,亦是正法,参麦散一方,固为养胃保肺无上妙品。

然肺为贮痰之器,干燥者少,湿浊者多,设使痰气未清,而即投粘腻,其害已不可胜言。而麦冬又滋腻队中之上将,或更以沙参、玉竹、二母等柔润甘寒之物辅之,则盘踞不行,辟为窟宅,而清肃之肺金,遂为痰饮之渊薮矣。

随便看

 

离鸟网收录3541549条中英文词条,其功能与新华字典、现代汉语词典、牛津高阶英汉词典等各类中英文词典类似,基本涵盖了全部常用中英文字词句的读音、释义及用法,是语言学习和写作的有利工具。

 

Copyright © 2004-2024 vtrois.com All Rights Reserved
更新时间:2026/4/21 12:44:53