网站首页  词典首页


请输入您要查询的字词:

 

字词 麝香草
类别 中英文字词句释义及详细解析
释义 麝香草

【名称出处】:《上海药用植物图鉴》

【概况】:

异名 百里香(《中药大辞典》)。

基源 为唇形科百里香属植物麝香草的干燥全草。

原植物 麝香草Thymus vulgaris L.

形态 灌木状常绿草本。茎坚硬直立,高18~30cm,多分枝。叶线状披针形至卵状披针形,长7~12mm,宽约4mm,先端尖,叶缘稍反卷,全缘,基部广楔形,上面具短茸毛,并密生腺点。

枝梢疏生轮伞花序;花萼表面有短柔毛及腺点,绿色,下唇2裂成针刺状,上唇3裂,裂片较下唇裂片为短;花冠粉红色,比花萼稍长,上唇直立,油腺明显,有樟脑香味。雄蕊2强,超出花冠,花药红色;雌蕊柱头2裂,红色。

小坚果棕褐色。花期5~6月。

生境与分布 原产地中海沿岸。中国有栽培。。【生药】:

采集 5~6月采收全草,除去杂质,晒干。

【化学】:

盛花期的全草含挥发油0.8%~1.5%[1,2],挥发油中含百里香酚(Thymol)(1)为油中的主要成分可达50%。

还含有香荆芥酚(Carvacrd)、对-聚伞花素(P-Cymol)、L-α-蒎烯(L-α-Pinene)、γ-松油烯(γ-Terpinene)、α-松油醇(α-Terpineol)、l-龙脑(l-Borneol)、石竹烯(Caryophyllene)、芳樟醇(Linalool)、乙酸芳樟醇脂(Linalyl-acetate)、乙酸龙脑酯(Bornyl-acetate)、2-甲基-6-亚甲基庚二烯-2.7-醇及其乙酸酯。

另不同的化学型品种其挥发油的单萜成分有所不同,可分别在牻牛儿醇(Geraniol)、芳樟醇、α-松油醇、香荆芥醇、百里香酚或侧柏醇-4(Thujanol-4)及松油醇4(Terpineol-4)成分上有差异[3,4]

全草含皂甙熊果酸(Ursolic acid)、齐墩果酸(Oleanolic acid)、咖啡酸(Caffeic acid)、绿原酸(Chlorogenic acid)、喹啉-4-羧酸(Cinchonic acid)及黄酮类化合物如:木犀草素-7-β-葡萄糖甙(Luteolin-7-β-glucoside)、木犀草素-7-二葡萄糖甙(Luteolin-7-diglucoside)。

5,4′-二羟基-6,7,3′-三甲氧基黄酮(5,4′-Dihydroxy-6,7,3′-trimethoxyflavone,即Cirsilineol、5,6,4′-三羟基,-7,8,3′三甲氧基黄酮,即Thymonin)、5,4′-二羟基-6,7,8,3′-四甲氧基黄酮[5],4′,5-二羟基-6,7,8-三甲氧基黄酮、4′,5-二羟基-7-甲氧基黄酮、5羟基-4′7-二甲氧基黄酮、4′,5-二羟基-6,7-二甲氧基黄酮[6]

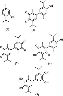
麝香草另含有联苯酚醌化合物4-[4-羟基-2-甲基-5-(1-甲基乙基)苯基]-3-甲基-6-(1-甲基乙基)-3,5-环己二烯-1,2-二酮(2)、2,2′-二甲基-5,5′-双(1-甲基乙基)-[双-1,5-环己二烯-1-基]-3,3′,4,4′四酮(3)、2-羟基-5-[4-羟基-2-甲基-5-(1-甲基乙基)苯基]-6-甲基-3-(1-甲基乙基)-2,5-环己二烯-1,4-二酮(4)、3,4,3,4-四羟基-5,5-二异丙基-2.2-二甲基联苯(5)[7,8],鞣质(Tannin)[9]

参考文献 [1] 徐国钩、赵守训等.生药学.北京人民卫生出版社,1958:238 [2] 江苏新医学院.中药大辞典.下册.上海科学技术出版社,1977:2743 [3] Phytochemistry 1973;12(7):1683 [4] CA 1972;76:83683t [5] Phytochemistry,1982;21(10):2581 [6] Agric Bid Chem,1989;53(11):3043(CA 1990;112:115744u) [7] CA 1989;111:130731k [8] Chem Pharm Bull,1989;37(7):1816 [9] Susan Budavan,Merck Index,12ed.,1996:1603(#9537)。

【药理】:

❶ 抗菌作用 挥发油,特别是麝香草脑有防腐消毒作用,可用于口腔、咽喉之灭菌。

对金黄色葡萄球菌、大肠杆菌均有抑制作用,开花季节茎、叶的乙醇或生理盐水的提取物效力较好。用纸层析可分别获得对革兰氏阳性及革兰氏阴性有效的物质(非鞣质或酚性化合物),在1.300000~500000浓度时即能抑菌。也有抗真菌作用[1]

❷ 对呼吸道的作用 叶有祛痰作用,其提取物能增进支气管粘膜的分泌,麝香草脑、香荆芥酚能促进纤毛(蛙气管)运动,并以原形自肺排出。

对豚鼠肺灌流,提取物有轻度松弛支气管的作用[1]
❸ 其他作用 提取物能显著抑制乙酰胆碱引起的豚鼠小肠收缩,而对抗5-羟色胺的作用较弱,对缓动素(Bradykinin)之对抗更差,对组织胺的作用仅有轻微影响。

对离体大鼠子宫有兴奋作用,阿托品不能阻止此兴奋[1]

毒性 麝香草脑在肠胃道可迅速而完全的被吸收;酒、油可促其吸收。

涂于皮肤无刺激性,亦不吸收,但能刺激粘膜,引起呕吐,其毒性为酚的1/4。

口服1g不引起中毒症状,量大则可致眩晕、上腹剧痛、兴奋、恶心及呕吐、流涎流汗、发绀、体温下降、脉细速、呼吸慢乃至昏迷。

参考文献 江苏新医学院,中药大辞典.下册.上海人民出版社,1977:2743。【药性】:

功效 芳香性镇静,祛风,镇咳,祛钩虫。

主治 《国药的药理学》:“镇咳。尤对百日咳有效,急慢性支气管炎,喉炎。又为皮肤刺激药,防腐性洗涤药。”

用法用量 内服:煎汤,3~6g。

。【临床应用】:

单方应用 ❶ 《中华药海》:“止咳化痰:麝香草3~6g,煎服。”
❷ 《生药学》(徐国钧、赵守训,1958):“芳香性镇痉剂、祛风、镇咳:“流浸膏4ml,糖浆剂。
❸ 麝香草油:挥发油用于皮肤发赤剂,局部刺激剂。
❹ 麝香草酚:防腐剂、漱喉剂,驱钩虫剂(2g,分3次服)。

随便看

 

离鸟网收录3541549条中英文词条,其功能与新华字典、现代汉语词典、牛津高阶英汉词典等各类中英文词典类似,基本涵盖了全部常用中英文字词句的读音、释义及用法,是语言学习和写作的有利工具。

 

Copyright © 2004-2024 vtrois.com All Rights Reserved
更新时间:2026/4/21 12:54:14