19.春雷霉素
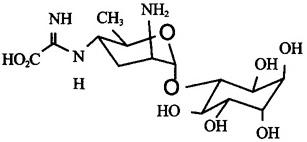
中文通用名称:春雷霉素,英文通用名称:kasugamycin,其他名称:春日霉素、加收米,化学名称:[5-氨基-2-甲基-6-(2,3,4,5,6-五羟基环己基氧代)吡喃-3-基]氨基-α-亚氨乙酸,化学分子式:C14H25N3O9,相对分子量:379.4。 化学结构式:  理化性质:我国春雷霉素是一种小金色放线菌(Actinomycetes microaurous)所产生的代谢物,其盐酸盐为白色针状或片状结晶,熔点206~210℃(分解)。易溶于水,微溶于甲醇,不溶于乙醇、丙酮、苯等有机溶剂,在25℃水中溶解12.5%(W/V)。在酸性和中性溶液中比较稳定,但在强酸或碱性溶液中不稳定。 毒性:原药小鼠急性经口LD50>8000mg/kg,大鼠急性经皮LD50>4000mg/kg,大鼠急性吸入LC50>2.4mg/L。对鱼类及水生生物毒性较低,鲤鱼TLm(48h)>40mg/L。对蜜蜂毒性较低,无作用剂量>40μg/头。对鸟类低毒。 农药类别:低毒抗菌素类杀菌剂。 |