网站首页  词典首页


请输入您要查询的字词:

 

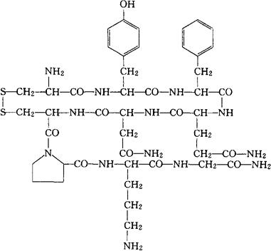
字词 鸟氨加压素
类别 中英文字词句释义及详细解析
释义 鸟氨加压素

C45H63N13O12S2=1042.19

CAS-3397-23-7

8-鸟氨酸加(血)压素。

8-Ornithinevasopressin.

局部麻醉药,外科止血药。

握利扑莱新。

Ornipressine,POR 8.

INN,USAN,MI.

随便看

 

离鸟网收录3541549条中英文词条,其功能与新华字典、现代汉语词典、牛津高阶英汉词典等各类中英文词典类似,基本涵盖了全部常用中英文字词句的读音、释义及用法,是语言学习和写作的有利工具。

 

Copyright © 2004-2024 vtrois.com All Rights Reserved
更新时间:2026/4/19 7:47:14