网站首页  词典首页


请输入您要查询的字词:

 

字词 鲍莫尔-托宾方程
类别 中英文字词句释义及详细解析
释义 鲍莫尔-托宾方程

亦称“平方根公式”、“平方根法则”或W·鲍莫尔和J·托宾的平方根定理。对凯恩斯货币交易需求理论的发展。

假定在一定时期人们计划用于交易的货币总额为T,并且在获得这笔货币时即将其全部购买短期债券生利,然后每隔一段时期均匀地将其中M部分转化为货币满足交易需要,则在这段时间为交易所要求持有的货币余额为M,相应地,将债券转化为货币的交易次数为T/M。债券向货币的转化,必然花费一定的时间、精力及至服务费。若将这些损失视为债券向货币转化的交易成本,并且假定无论交易数额大小,交易成本都完全相同且固定不变,则为交易总额T所支付的交易成本为交易次数和固定交易成本C的乘积,即

人们持有货币,就不能持有债券生利,故债券利息构成持有货币的机会成本。如果人们在一定时期用于交易的货币为M,所持有的平均货币余额应为M/2,为之所丧失的机会成本可表示为

若以CT表示们持有货币余额的总成本则它是交易成本和丧失的利息收的总和即:

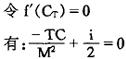
理性的决策者总是力求持有成本最低的货币余额,这时,总成本CT对货币持有量M的一阶导数为零。

解M得到成本最低的货币持有量

而平均货币持有量为:

上式显示的最小成本的平均货币余额对其他经济变量的依存关系称为平方根定理。平方根定理表明,为交易而平均持有的货币余额不仅与收入水平成正相关关系,而且还与利率水平成负相关关系。由于利率表达了人们持有货币的机会成本,故在其他条件既定时,利率越高,人们持有的货币越少;利率越低,持有的货币越多。

随便看

 

离鸟网收录3541549条中英文词条,其功能与新华字典、现代汉语词典、牛津高阶英汉词典等各类中英文词典类似,基本涵盖了全部常用中英文字词句的读音、释义及用法,是语言学习和写作的有利工具。

 

Copyright © 2004-2024 vtrois.com All Rights Reserved
更新时间:2026/4/18 6:23:31