网站首页  词典首页


请输入您要查询的字词:

 

字词 18.氟螨
类别 中英文字词句释义及详细解析
释义 18.氟螨

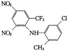
中文商品代号:F1050,化学名称:N-(2-甲基-5-氯苯基)-2,4-二硝基-6-三氟甲基苯胺,分子式:C14H9ClF3O4N3,相对分子量:375.69。

化学结构式:

理化性质:淡黄色粉末结晶,熔点110.0~112.0℃。在水中溶解度为0.095g/L,易溶于常用有机溶剂,如无水乙醇22.829g/L,甲醇393.315g/L,二甲苯269.225g/L等。

随便看

 

离鸟网收录3541549条中英文词条,其功能与新华字典、现代汉语词典、牛津高阶英汉词典等各类中英文词典类似,基本涵盖了全部常用中英文字词句的读音、释义及用法,是语言学习和写作的有利工具。

 

Copyright © 2004-2024 vtrois.com All Rights Reserved
更新时间:2026/4/18 21:39:11