网站首页  词典首页


请输入您要查询的字词:

 

字词 高频振框筛平衡
类别 中英文字词句释义及详细解析
释义 高频振框筛平衡

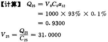
【已知】 Q21=206.6665

V21=17222.2083

高频振框筛排渣率α12=0.1%(对成品)

高频振框筛排渣浓度C25=3%

高频振框筛良浆浓度C26=0.8%

屋顶白水池的白水来自于水封池,进入水封池的白水来自于真空箱和真空伏辊及两道洗网水。故:

随便看

 

离鸟网收录3541549条中英文词条,其功能与新华字典、现代汉语词典、牛津高阶英汉词典等各类中英文词典类似,基本涵盖了全部常用中英文字词句的读音、释义及用法,是语言学习和写作的有利工具。

 

Copyright © 2004-2024 vtrois.com All Rights Reserved
更新时间:2026/4/21 9:33:32