网站首页  词典首页


请输入您要查询的字词:

 

字词 高阶因素分析
类别 中英文字词句释义及详细解析
释义 高阶因素分析

结构方程模型的一种。

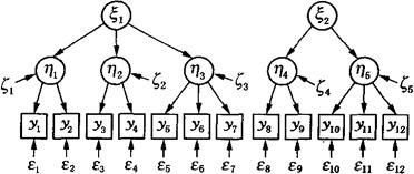
将因素分析得到的(斜交)公共因素作为变量进行的因素分析。分析观测变量的相关矩阵Rp×p所得的公共因素称为基本因素或一阶因素,分析一阶因素的相关矩阵所得的公共因素称为次级因素或二阶因素,其分析过程称为二阶因素分析。若再对二阶因素的相关矩阵抽取公共因素,由此所得的公共因素称为三阶因素。这个过程可连续进行,当最后出现一个高阶因素或若干个不相关的高阶因素时,高阶因素分析就终止。下面是一个二阶因素分析的路径图。

随便看

 

离鸟网收录3541549条中英文词条,其功能与新华字典、现代汉语词典、牛津高阶英汉词典等各类中英文词典类似,基本涵盖了全部常用中英文字词句的读音、释义及用法,是语言学习和写作的有利工具。

 

Copyright © 2004-2024 vtrois.com All Rights Reserved
更新时间:2026/4/20 9:45:27