网站首页  词典首页


请输入您要查询的字词:

 

字词 高登增长模型
类别 中英文字词句释义及详细解析
释义 高登增长模型

由迈伦·J·高登(Myron Gordon)提出的一种估算股东收益率,进而估算厂商的内部权益资本成本的简便方法。

企业为拟议项目筹集资金,既可以通过出售新的普通股票,使购买者获得一定比例的所有权,也可以在内部把一定比例的保留盈余用于投资目的。企业筹集权益资本的成本就等于企业为了吸引投资者而必须支付给股东的收益率。

显然,红利支付额的预期增长率是决定股东财富的一个重要因素。

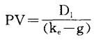
高登证明了如果厂商支付的红利预期每年以不变的复利g增长的话,那么该厂商的现值为:

式中的D1为第一期的红利支付总额,ke为投资者所要求的收益率。

如果用D1表示每股股票的红利支付,那么PV就是每股股票的市场价格。高登增长模型就可以写成:

此时外部权益资本的成本为ke加上新发行股票的成本。如同债券的情况一样,股东所要求的收益率等于该年度每股红利支付额与厂商普通股票市场价格之比,加上红利支付额的预期未来增长率。以IBM公司为例子,如果该公司每股普通股票的当前价格为99美元,以当前每季度支付额计算出来的每年红利为4.84美元,如果预期IBM的每股红利每年将以4%增长下去的话,它的权益资本的成本大约为:

ke=(4.84美元/99美元)+0.4=0.089或8.9%。

随便看

 

离鸟网收录3541549条中英文词条,其功能与新华字典、现代汉语词典、牛津高阶英汉词典等各类中英文词典类似,基本涵盖了全部常用中英文字词句的读音、释义及用法,是语言学习和写作的有利工具。

 

Copyright © 2004-2024 vtrois.com All Rights Reserved
更新时间:2026/4/21 22:38:52