网站首页  词典首页


请输入您要查询的字词:

 

字词 17.富表甲氨基阿维菌素
类别 中英文字词句释义及详细解析
释义 17.富表甲氨基阿维菌素

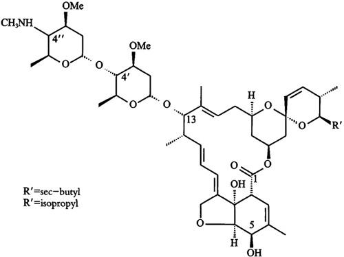
中文通用名称:富表甲氨基阿维菌素,英文通用名称:methylaminoavermectin,化学名称:4′-脱氧-4″-(表)甲氨基阿维菌素B1,化学分子式:C49H75NO13(B1a)及C48H73NO13(B1b),相对分子量:886.09及872.07。

化学结构式:

理化性质:熔点为145~150℃,难溶于水,易溶于丙酮、乙酸乙酯、苯、二氯甲烷等有机溶剂。对热稳定,对紫外光敏感。

农药类别:高毒杀虫剂。

随便看

 

离鸟网收录3541549条中英文词条,其功能与新华字典、现代汉语词典、牛津高阶英汉词典等各类中英文词典类似,基本涵盖了全部常用中英文字词句的读音、释义及用法,是语言学习和写作的有利工具。

 

Copyright © 2004-2024 vtrois.com All Rights Reserved
更新时间:2026/4/21 7:09:42