高斯消元法
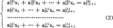
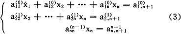
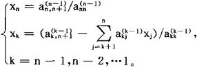
求解线性代数方程组  的高斯消元法分为消元过程和回代过程。 消元过程由n-1步组成第一步,设a11≠0,利用(1)中第一个方程将其余方程中的x1消去,得等价的方程组  其中 , , i=2,3,…n,j=2,3,…n+1 第二步,若 ,再将(2)中的第2到第n个方程中的X2消去。 一般地,在第k步上,设 , 令  则 , i=k+1,…n j=k+1,…n+1 经n-1步消元后,方程组就化成等价的。  回代过程就是解方程组(3),得出组(1)的解为:  若 ,则在进行第k步消元时,可先确定r使 ,然后将第r个方程与第k个方程对换,再进行消元。 |