网站首页  词典首页


请输入您要查询的字词:

 

字词 高斯求积法
类别 中英文字词句释义及详细解析
释义 高斯求积法

如何利用函数f(x)在某些点上的函数值,给出积分的近似值,这是个数值积分问题。

高斯求积公式是数值积分中最常用的公式之一。

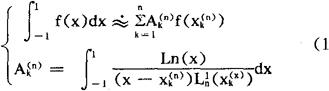
就是高斯求积公式。这里的是它的n个根。在实际计算时,都可通过查表给出,然后代入(1)式即可。

给出表格如下

用两点高斯求积公式,则得 (2)

若用三点高斯求积公式,则得

此积分的精确值为

高斯求积公式计算稳定且具有较高的精确度,当f(x)是次数≤2n-1次多项式时,(1)是精确成立的。

如果积分区间是〔a,b〕,可先通过变量替换化为〔-1,1〕上的积分:

然后再利用高斯求积公式。

随便看

 

离鸟网收录3541549条中英文词条,其功能与新华字典、现代汉语词典、牛津高阶英汉词典等各类中英文词典类似,基本涵盖了全部常用中英文字词句的读音、释义及用法,是语言学习和写作的有利工具。

 

Copyright © 2004-2024 vtrois.com All Rights Reserved
更新时间:2026/4/20 12:44:16