网站首页  词典首页


请输入您要查询的字词:

 

字词 验证性因素分析
类别 中英文字词句释义及详细解析
释义 验证性因素分析

一译“实证性因素分析”。

因素分析的一种。与“探索性因素分析”相对。

强调验证理论分析结果的可靠性。

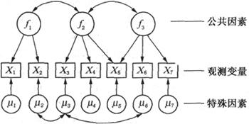
20世纪60年代以来因素分析的主要进展。研究者首先根据已有的专业知识和实践经验决定:(1)各个观测变量分别受哪些公共因素影响;(2)哪几对公共因素之间是相关的;(3)哪几对特殊因素之间是相关的。下图是研究者根据经验提出的分析模型路径图。

图中的双向箭头表示两者相关。有时研究者会同时提出几种不同的假设模型。

可通过多种方法检验假设模型而作出最后的选择,并估计出未知参数。

其数学模型为X=Af+μ,其中X=(X1,X2,…,Xp)′是标准化观测变量向量,f=(f1,f2,…,fm)′是公共因素向量,满足E(f)=0,A=(aik)p×m是因素负荷矩阵,μ=(μ1,μ2,…,μp)′是特殊因素向量,满足E(μ)=0,m<p。由此可导出观测变量协方差矩阵Cov(X)=∑=AΦA′+,其中,Φ=E(ff′),=E(μμ′),A为因素负荷矩阵。研究者就是根据专业经验对A、Φ、的某些参数加以指定或约束,然后用极大似然法等估计矩阵A、Φ、中的未知参数。

其最大优点是数学模型的灵活性。模型的灵活性使它能有效地应用于心理和教育研究的许多实际问题。验证性因素模型是结构方程式模型的一种很特殊的子模型。用于分析结构方程式模型的常用软件是LISREL、AMOS和EQS。

利用这些软件可作验证性因素分析。

随便看

 

离鸟网收录3541549条中英文词条,其功能与新华字典、现代汉语词典、牛津高阶英汉词典等各类中英文词典类似,基本涵盖了全部常用中英文字词句的读音、释义及用法,是语言学习和写作的有利工具。

 

Copyright © 2004-2024 vtrois.com All Rights Reserved
更新时间:2026/4/21 20:03:02