验潮井
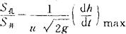
为观测潮汐而专门在海滨设置的井状建筑物。 井筒一般为圆形,内.径0.7-1米.用钢筋混凝土浇灌或玻璃钢制成,也可使用铁管、钢管、硬质塑料管代替。井内与海水相通,具有良好的随潮性和消波性。验潮井一般分岛式和岸式两种建筑形式。岛式验潮井的井筒,用支架固定安置于海底或悬挂于水中。 井口高度要高出可能最高潮位的1.5-2米,井底的深度要低于最低潮位的1.5-2米。井筒开有进水孔,其高度约在可能最低潮位下1米处。 进水孔的大小取决于当地最大涨、落潮率和井筒的截面积。根据井内外潮位差不大于1厘米的要求,进水孔的设计可参照下式:  式中,S孔——进水孔截面积(平方厘米); S井——井筒截面积(平方厘米); g——重力加速度(厘米/秒2);  u——流量系数。 岸式验潮井的井筒建在岸上,通过输水管与海水相通。输水管内端口,应在井底上方约1米处,管口朝向开阔海域并向下倾斜约5%。 输水管直径与管长有一定的对应关系。不论何种验潮井,其上方都要建有仪器室,室内安装浮子式验潮仪,验潮仪浮子在验潮井内随潮水升降,记录简转动,以便记录潮位的变化。 |