网站首页  词典首页


请输入您要查询的字词:

 

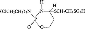
字词 马磷酰胺
类别 中英文字词句释义及详细解析
释义 马磷酰胺

C9H19Cl2N2O5PS2=401.26

CAS-88859-04-5

(±)-2-[[2-[双(2-氯乙基)氨基]四氢-2H-1,3,2-氧氮杂膦因-4-基]硫代]乙烷磺酸对位顺式-氧化物。

(±)-2-[[2-[bis(2-Chloroethyl)amino]tetrahydro2H-1,3,2-oxazaphosphorin-4-yl]thio]ethanesulfonic acid p-cis-oxide.

抗肿瘤药。

Mafosfamide.

INN,USAN.

随便看

 

离鸟网收录3541549条中英文词条,其功能与新华字典、现代汉语词典、牛津高阶英汉词典等各类中英文词典类似,基本涵盖了全部常用中英文字词句的读音、释义及用法,是语言学习和写作的有利工具。

 

Copyright © 2004-2024 vtrois.com All Rights Reserved
更新时间:2026/4/18 23:55:53