网站首页  词典首页


请输入您要查询的字词:

 

字词 马桑叶
类别 中英文字词句释义及详细解析
释义 马桑叶

【名称出处】:《中国高等植物图鉴》

【概况】:

异名 水马桑、野马桑(云南),黑龙须(云南曲靖),醉鱼儿、闹鱼儿(四川成都),马桑紫(贵州贵阳)。

基源 为马桑科马桑属植物马桑的叶。马桑属全世界约15种,中国约3种。

原植物 马桑Coriaria nepalensis Wall.(Coriaria sinica Maxim.),又名千年红、马鞍子(《中国高等植物图鉴》),紫桑(《中国植物志》)。

形态 灌木,高1.5~2.5m。

分枝水平开展,小枝四棱形或成四狭翅,幼枝疏被微柔毛,后变无毛,常带紫色,老枝紫褐色,具显著圆形突起的皮孔;芽鳞膜质,卵形或卵状三角形,长1~2mm,紫红色,无毛。叶对生,纸质至薄革质,椭圆形或阔椭圆形,长2.5~8cm,宽1.5~ 4cm,先端急尖,基部圆形,全缘,两面无毛或沿脉上疏被毛;基出3脉,弧形伸至顶端,在叶面微凹,叶背突起;叶柄长2~3mm,疏被毛,紫色,基部具垫状突起物。

总状花序生于二年生的枝条上,雄花序先叶开放,长1.5~2.5cm,多花密集,序轴被腺状微柔毛;苞片和小苞片卵圆形,长约2.5mm,宽约2mm,膜质,半透明,内凹,上部边缘具流梳状细齿;花梗长约1mm,无毛;萼片卵形,长1.5~2mm,宽1~1.5mm,边缘半透明,上部具流苏状细齿;花瓣极小,卵形,长约0.3mm,里面龙骨状;雄蕊10,花丝线形,长约1mm,开花时伸长,长3~3.5mm,花药长圆形,长约2mm,具细小疣状体,药隔伸出,花药基部短尾状;不育雌蕊存在;雌花序与叶同出,长4~6cm,序轴被腺状微柔毛,苞片长约4mm,带紫色;花梗长1.5~2.5mm;萼片与雄花同;花瓣肉质,较小,龙骨状;雄蕊较短,花丝长约0.5mm,花药长约0.8mm;心皮5,耳形,长约0.7mm,宽约0.5mm,侧向压扁,花柱长约1mm,具小疣体,柱头上部外弯,紫红色,具多数小疣体。果球形,果期花瓣肉质增大包于果外,成熟时由红色变紫黑色,径4~6mm。种子卵状长圆形。(图见《中国植物志》.第45卷.第1分册.图版22∶1-7)

生境与分布 生于海拔400~3200m的灌丛中。分布中国西南及陕西、甘肃、湖北。。

【生药】:

采集 4~5月采收,除去杂质,晒干或鲜用。

贮藏 晒干用者置干燥处。

【化学】:

含鞣质、没食子酸、山柰酚和马桑糖(Coriose)等。

茎的成分同叶相似,均有毒[1,2]

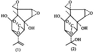
附 果实含有毒成分马桑内酯(Coriamyrtin)、羟基马桑毒素(Tutin)(1)和马桑亭(Coriatin)(2)[3]。马桑的根茎、叶、果实、种子均含有毒成分,果实尤毒[4]。马桑种子油中主要成分为13-羟基顺-9-反-11-十八碳二烯酸[5]

参考文献 [1] 中草药有效成分的研究.第1分册.人民卫生出版社,1972:380 [2] 中国土农药志.科学出版社,1959:90 [3] 中草药 1978;(10):1 [4] 中华儿科 1956;7(6):458 [5] 云南植物研究 1980;2(2):228。【药理】:

本品果实中含有马桑内酯、羟基马桑毒素等[1],此等毒性成分的化学与药理性质与印防己毒素颇相近,其致惊厥作用较印防己毒素发生快,而持续时间短,毒性更强,故临床不用。

在痉挛量以下(0.1~0.2mg/kg)iv可引起兔、猫血压上升,对巴比妥类催眠药中毒,有拮抗作用[2]。果实及种子中含毒性成分更多,儿童可误食而中毒[3,5]

临床上用以治精神分裂症[6,7]

参考文献 [1] 中草药通讯 1977;8(6):6 [2] Drill’s Pharmacology in Medicine.Mc Graw-Hill Book Company,1954,22:11 [3] 中华内科杂志 1966;14(2);118 [4] 天津医药 1978;6(12):570 [5] 遵义医学院学报 1985;8(2):50 [6] 新医学 1978;9(7):319 [7] 中华神经精神科杂志 1979;12(4):196。

【药性】:

性味 辛、苦,寒。

有毒。 ❶ 《贵阳民间药草》:“辛、苦、麻。有大毒。


❷ 《贵州草药》:“辛,寒。有毒。”

功效 清热解毒,消肿敛疮。

主治 痈疽,肿毒,疥癞,黄水疮,烫伤。 ❶ 《草木便方》:“治风目,痈疽,腮肿风毒,涂四肢麻木不仁。”
❷ 《分类草药性》:“治火伤,调香油搽涂。”
❸ 《重庆草药》:“干叶粉,可以收黄水,止痒,治痒疮,癞子。”

用法用量 外用:捣敷、煎水洗,研末掺或调敷。

【临床应用】:

单方应用 ❶ 《湖南药物志》:“治肿疡:马桑叶煎水洗。”
❷ 《贵阳民间药草》:“治疥疮:马桑叶、地星秀等份为末,调油搽。”
❸ 《湖南药物志》:“治目赤痛:马桑叶、大血藤叶。捣烂敷。


❹ 《贵州草药》:“治外痔:马桑叶适量,煨水洗患处。”
❺ 《贵州草药》:“治头癣:以马桑嫩叶30g,捣绒,加硫黄粉9g,花椒粉3g。用菜油适量调匀,搽患处。


❻ 《中药大辞典》:“治精神分裂症:取鲜马桑叶或茎(茎的直径1~5cm,切片),水煎2次,合并浓缩成100%煎剂,供口服。给药量1次约相当生药2~4g/kg体重(如马桑叶采回放置过久,药效减低,应适当增加用药量)。

治疗时病人集中于治疗室进行,专人护理。当日晨空腹给药,然后让病人卧床休息,以防毒副作用产生时便于处理,约经8小时后药物反应逐渐消失,即可回病室继续观察。”

随便看

 

离鸟网收录3541549条中英文词条,其功能与新华字典、现代汉语词典、牛津高阶英汉词典等各类中英文词典类似,基本涵盖了全部常用中英文字词句的读音、释义及用法,是语言学习和写作的有利工具。

 

Copyright © 2004-2024 vtrois.com All Rights Reserved
更新时间:2026/4/18 18:23:17