网站首页  词典首页


请输入您要查询的字词:

 

字词 马松子
类别 中英文字词句释义及详细解析
释义 马松子

【名称出处】:《江苏南部种子植物手册》

【概况】:

异名 假络麻(《广西药用植物名录》)。

基源 为梧桐科马松子属植物马松子的全株。马松子属全世界约54种;亚洲有2~3种,中国仅1种。

原植物 马松子Melochia corchorifolia L.,又名野路葵、野棉花秸(《中国高等植物图鉴》)。

形态 半灌木状草本,高20~80cm;枝黄褐色,散生星状短柔毛。

单叶互生;叶柄长5~25mm;托叶线形,长2~4mm;叶片卵形、长圆状卵形或披针形,偶有不明显的三浅裂,长2~7cm,宽1~1.5cm,顶端钝或急尖,基部圆形或心形,边缘有锯齿,上面几无毛,下面略被星状短柔毛,基生脉5条。聚伞或团伞花序顶生或腋生;小苞片线形,与花序混生;萼钟状,5浅裂,外面被长柔毛和刚毛,裂片三角形;花瓣5片,白色后变淡红色,长圆形,基部收缩;雄蕊5枚,下部连合成筒,与花瓣对生;子房5室,无柄,密被柔毛,花柱5,线状。

蒴果近球形,有5棱,直径5~6mm,有长柔毛,室背开裂,每室有种子1~2个。种子卵圆形,长2~3mm,褐黑色。

花期夏、秋季。(图见《中国高等植物图鉴》.第2册.831页.图3392)

生境与分布 生于田野、低山丘陵或灌丛中。

分布于中国华东、中南、西南。亚洲热带地区亦有分布。

。【化学】:

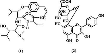
含马松子素(Melofline)(1)[1]、3,4′,5,7-四羟基-8-O-β-D-葡萄糖醛酸-黄酮(2)[2]、β-谷甾醇、β-胡萝卜甙、齐墩果烷等化合物[3]

参考文献 [1] Phytochemistry 1986;26(1):324 [2] CA 1978;88:117782g [3] CA 1988;108:201748x

【药性】:

性味 淡,平。

功效 消炎止痒,清热利湿。

主治 急性黄疸型肝炎。

用法用量 内服:煎汤,30~60g。

随便看

 

离鸟网收录3541549条中英文词条,其功能与新华字典、现代汉语词典、牛津高阶英汉词典等各类中英文词典类似,基本涵盖了全部常用中英文字词句的读音、释义及用法,是语言学习和写作的有利工具。

 

Copyright © 2004-2024 vtrois.com All Rights Reserved
更新时间:2026/4/20 1:05:47