马来酸麦角新碱[典]
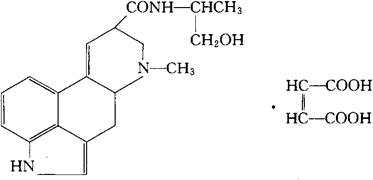
C19H23N3O2·C4H4O4=441.48 CAS-129-51-1 9,10-二脱氧-N-[(S)-2-羟基-1-甲乙基]-6-甲基麦角灵-8β-甲酰胺氢马来酸盐(1∶1)。 9,10-Didehydro-N-[(S)-2-hydroxy-1-methylethyl]-6-methyl-ergoline-8β-carboxamidehydrogen maleate(1∶1)(salt). 子宫收缩药。用于产后出血及子宫复原。 顺丁烯麦角新碱。 Ergometrine Maleate,Ergonovine Maleate,Ergofrate Malcate. 马来酸麦角新碱片,马来酸麦角新碱注射液。 INN & BP,(Ergomefrine)EP,IP,JP,USAN,USP,MI. 
|