网站首页  词典首页


请输入您要查询的字词:

 

字词 马来酸阿达洛尔
类别 中英文字词句释义及详细解析
释义 马来酸阿达洛尔

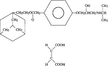
C26H39NO4·C4H4O4=545.67

CAS-121009-31-2

(±)4-[2-羟基-3-[(1-甲基乙基)氨基]丁丙氧基]-苯乙酸-2-三环[3,3,1,13.7]癸-1-基乙酯,(Z)-2-丁烯二酸盐(1∶1)。

4-[2-Hydroxy-3-[(1-methylethyl)amino]-propoxy]-benaenezcetic acid,2-tricyclo[3.3.1.13.7]dec-1-ylethyl ester.(Z)-2-butenedioate(1∶1)(salt).

(±)-2-(1-金刚烷基)乙基[对-[2-羟基-3-(异丙氨基)丙氧基]苯基]醋酸酯,马来酸盐(1∶1)。

(±)-2-(1-Adamantyl)ethy[p-[2-hydroxy-3-(isopropylamino)propoxy]phenyl]acetate,maleate(1∶1)(salt).

抗高血压药。

Adaprolol Maleate,HGP-2,CDDD 2803.

USAN.

随便看

 

离鸟网收录3541549条中英文词条,其功能与新华字典、现代汉语词典、牛津高阶英汉词典等各类中英文词典类似,基本涵盖了全部常用中英文字词句的读音、释义及用法,是语言学习和写作的有利工具。

 

Copyright © 2004-2024 vtrois.com All Rights Reserved
更新时间:2026/4/20 8:45:32