网站首页  词典首页


请输入您要查询的字词:

 

字词 马来酸阿扎那托
类别 中英文字词句释义及详细解析
释义 马来酸阿扎那托

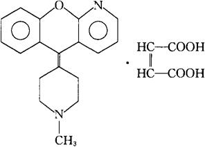
C18H18N2O·C4H4O4=394.43

CAS-39624-65-2

CAS-37855-92-8(azanator)

5-(1-甲基-4-哌啶亚基)-5H-[1]苯并吡喃并[2,3-b]哌啶马来酸盐(1∶1).

5-(1-Methyl-4-piperidylidene)-5H-[1]benzopyrano[2,3-b]pyridine maleate(1∶1).

支气管扩张药。

Azanator Maleate,Sch 15280.

INN,USAN.

随便看

 

离鸟网收录3541549条中英文词条,其功能与新华字典、现代汉语词典、牛津高阶英汉词典等各类中英文词典类似,基本涵盖了全部常用中英文字词句的读音、释义及用法,是语言学习和写作的有利工具。

 

Copyright © 2004-2024 vtrois.com All Rights Reserved
更新时间:2026/4/19 5:00:27