网站首页  词典首页


请输入您要查询的字词:

 

字词 马来酸阿扎庚啶
类别 中英文字词句释义及详细解析
释义 马来酸阿扎庚啶

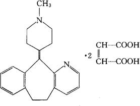
C20H22N2·2C4H4O4=522.55

CAS-3978-86-7

6,11-二氢-11-(1-甲基-4-哌啶亚基)-5H-苯并[5,6]环庚烷并,[1,2-b]吡啶马来酸盐(1∶2)。

6,11-Dihydro-11-(1-methyl-4-piperidylidene)-5Hbenzo[5,6]cyclohepta[1,2-b]pyridine maleate(1∶2).

抗组胺药。

马来酸阿扎他定。

Azatadine Maleate,Optimine,Zadine.

INN,USAN,MI.

随便看

 

离鸟网收录3541549条中英文词条,其功能与新华字典、现代汉语词典、牛津高阶英汉词典等各类中英文词典类似,基本涵盖了全部常用中英文字词句的读音、释义及用法,是语言学习和写作的有利工具。

 

Copyright © 2004-2024 vtrois.com All Rights Reserved
更新时间:2026/4/18 17:05:47