马来酸赛利拉敏
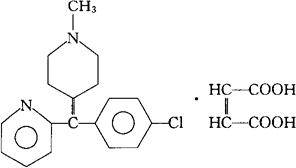
C18H19ClN2·C4H4O4=414.89 CAS-5781-37-3 CAS-47128-12-1(cycliramine) 2-[(4-氯苯基)(1-甲基-4-哌啶亚基)甲基吡啶,(Z)-2-丁烯二酸(1∶1)。 2-[(4-Chlorophenyl)(1-methyl-4-piperidinylidene)methylpyridine,(Z)-2-butenedioate(1∶1). 4-(对-氯-α-2-吡啶亚苄基)-1-甲基哌啶马来酸盐(1∶1). 4-(p-Chloro-α-2-pyridylbenzylidene)-1-methylpiperidine maleate(1∶1). 抗组胺药,抗变态反应药。 氯苄哌吡啶马来酸盐。 Cycliramine Maleate,Sch 2544,NSC-70933,Prolergic. INN(Cycliramine),USAN,  |