网站首页  词典首页


请输入您要查询的字词:

 

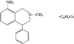
字词 马来酸诺米芬新
类别 中英文字词句释义及详细解析
释义 马来酸诺米芬新

C16H18N2·C4H4O4=354.40

CAS-32795-47-4

8-氨基-1,2,3,4-四氢-2-甲基-4-苯基异喹啉马来酸盐(1∶1)。

8-Amino-1,2,3,4-tetrahydro-2-methyl-4-phenylisoquinoline maleate(1∶1).

抗抑郁药。

马来酸诺米芬辛。

Nomifensine Maleate,Merital,Alival.

USAN,MI.

随便看

 

离鸟网收录3541549条中英文词条,其功能与新华字典、现代汉语词典、牛津高阶英汉词典等各类中英文词典类似,基本涵盖了全部常用中英文字词句的读音、释义及用法,是语言学习和写作的有利工具。

 

Copyright © 2004-2024 vtrois.com All Rights Reserved
更新时间:2026/4/18 20:26:35