网站首页  词典首页


请输入您要查询的字词:

 

字词 马来酸氨氯地平
类别 中英文字词句释义及详细解析
释义 马来酸氨氯地平

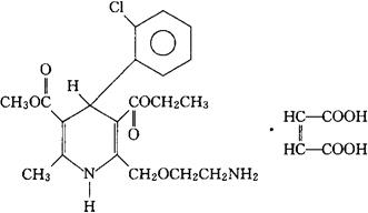
C20H25ClN2O5·C4H4O4=524.96

CAS-88150-47-4

(±)-2-[(2-氨基乙氧基)甲氧基]-4-(邻-氯苯基)-1,4-二氢-6-甲基-3,5-吡啶二羧酸3-乙酯,5-甲酯马来酸盐(1∶1)。

3-Ethyl 5-methyl 0(±±)-2-[(2-aminoethoxy)methoxy]4-(o-chlorophenyl)-1,4-dihydro-6-methyl-3,5-pyridinedicarboxylate,maleate(1∶1).

抗高血压药。

马来酸安洛地平。

Amlodipine Maleate,UK-48,340-11.

USAN.

随便看

 

离鸟网收录3541549条中英文词条,其功能与新华字典、现代汉语词典、牛津高阶英汉词典等各类中英文词典类似,基本涵盖了全部常用中英文字词句的读音、释义及用法,是语言学习和写作的有利工具。

 

Copyright © 2004-2024 vtrois.com All Rights Reserved
更新时间:2026/4/19 2:30:45