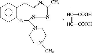
马来酸巴氮平
C16H20N6·C4H4O4=412.45 CAS-120360-10-3 2-甲基-5-(4-甲基-1-哌嗪基)-11H-[1,2,4]三唑并[1,5-c][1,3]苯并二氮杂 -[Z]-2-丁烯二酸(1∶1)。 11H-[1,2,4]Trizolo[1,5-c][1,3]benzodiazepine,2-methyl-5-(4-methyl-1-pipreazinyl)-,[Z]-2-butenedioate(1∶1). 2-甲基-5-(4-甲基-1-哌嗪基)-11H-s-三唑并[1,5-c][1,3]-苯并二氮杂 马来酸盐。 2-Methyl-5-(4-methyl-1-piperazinyl)-11H-s-triazalo[1,5-c][1,3]benzodiazepine maleate(1∶1). 抗精神病药。 Batelapine Maleate,CGS 13429A. INN(Batelapine),USAN. 
|