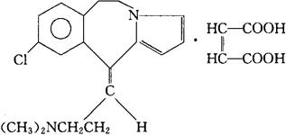
马来酸奈来扎林
C18H21ClN2·C4H4O4=416.90 CAS-107407-62-5 CAS-69624-60-8(nelezaprine) (E)-3-(9-氯-5,6-二氢-11H-吡咯并[2,1-b][3]苯并氮杂 -11-亚基)-N,N-二甲基-1-丙烷胺,[Z]-2-丁烯二酸盐(1∶1)。 (E)-3-(9-Chloro-5,6-dihydro-11H-pyrrolo[2,1-b][3]benzazepin-11-ylidene)-N,N-dimethyl-1-propanamine,[Z]-2-butenedioate(1∶1). (E)-9-氯-11-[3-(二甲氨基)亚丙基]-6,11-二氢-5H吡咯并[2,1-b]苯并氮杂 马来酸盐(1∶1)。 (E)-9-Chloro-11-[3-(dimethylamino)propylidene]-6,11-dihydro-5H-pyrrolo[2,1-b][3]benzazepine maleate(1∶1). 安定药。具有肌肉松弛作用。 马来酸耐泽扑灵。 Nelezaprine Maleate,L-637,510. INN(Nelezaprine),USAN.  |