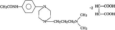
马来酸哌拉酰胺
C17H28N4O·2C4H4O4=536.58 CAS-1252-69-3 CAS-299-48-9(piperamide) N-[4-[4-[3-(二甲氨基)丙基]-1-哌嗪基]苯基]-乙酰胺,(Z)-2-丁烯二酸(1∶2)。 N-[4-[4-[3-(Dimethylamino)propyl]-1-piperazinyl]phenyl]acetamide,(Z)-2-butenedioate(1∶2). 4′-[4-[3-(二甲氨基)丙基]-1-哌嗪基)乙酰苯胺马来酸盐(1∶2)。 4′-[4-[3-(Dimethylamino)propyl]-1-piperazinyl]acetanilide maleate(1∶2). 抗寄生虫药,抗蠕虫病药。 Piperamide Maleate,CL 54131. INN(Piperamide),USAN. 
|