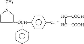
马来酸吡咯沙敏
C18H20ClNO·C4H4O4=417.89 CAS-5560-75-8 CAS-7009-68-9(pyroxamine) 3-[(4-氯苯基)苯甲氧]-1-甲-吡咯烷,(Z)-2-丁烯二酸(1∶1)。 3-[(4-Chlorophenyl)phenylmethoxy]-1-methylpyrrolidine,(Z)-2-butenedioate(1∶1). 3-[(对-氯-α-苯基苄基)氧]-1-甲吡咯烷马来酸盐(1∶1)。 3-[(p-Chloro-α-phenylbenzyl)oxy]-1-methylpyrrolidine maleate(1∶1). 抗组胺药。 Pyroxamine Maleate,AHR-224,NSC-64540. INN(Pyroxamine),USAN.  |