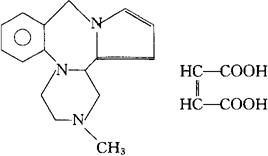
马来酸吡咯扎平
C16H19N3·C4H4O4=369.42 CAS-71576-41-5 1,3,4,14b-四氢-2-甲基-2H,10H-吡嗪并[1,2-a]吡咯并[2,1-c][1,4]苯并二氮鎓马来酸盐(1∶1)。 1,3,4,14b-Tetrahydro-2-methyl-2H,10H-pyrazino[1,2-a]pyrrolo[2,1-c][1,4]benzodiazepine maleate(1∶1). 抗抑郁药。 马来酸阿普氮平。 Aptazapine Maleatle. INN,USAN.  |