马来酸依氯那明
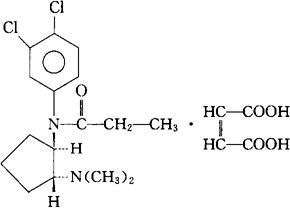
C16H22Cl2N2O·C4H4O4=445.34 CAS-71027-14-0 CAS-71027-13-9(eclanamine) 反(式)-(±)-N-(3,4-二氯苯基)-N-(2-二甲氨基)环戊基]-丙酰胺,(Z)-2-丁烯二酸盐(1∶1)。 trans-(±)-N-(3,4-Dichlorophenyl)-N-[2-dimethylamino)cyclopentyl]propionoylamide,(Z)-2-butenedioate(1∶1). (±)-反(式)-3′,4′-二氯-N-[2-(二甲氨基)环戊基]-苯丙酰胺马来酸盐。 (±)-trans-3′,4′-Dichloro-N-[2-(dimethylamino)cyclopentyl)]propionanilide maleate. 抗抑郁药。 Eclanamine Maleate,U-48,753E. INN,USAN.  |