网站首页  词典首页


请输入您要查询的字词:

 

字词 马来酸丙氯拉嗪
类别 中英文字词句释义及详细解析
释义 马来酸丙氯拉嗪

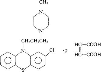
C20H24ClN3S·2C4H4O4=606.10

CAS-84-02-6

2-氯-10-[3-(4-甲基-1-哌嗪基)丙基]吩噻嗪马来酸盐(1∶2)。

2-Chloro-10-[3-(4-methyl-1-piperazinyl)propyl]phenothiazine mea[eate(1∶2).

止吐药及宁神药。用于神经官能症、呕吐等。

马来酸甲哌氯丙嗪,马来酸普氯苯噻(台)。

Prochlorperazine Maleate,Compazine,Emefival,Prochlorperazine Dimaleate.

马来酸丙氯拉嗪片(马来酸普氯苯噻锭)。

USAN,USP,MI.

随便看

 

离鸟网收录3541549条中英文词条,其功能与新华字典、现代汉语词典、牛津高阶英汉词典等各类中英文词典类似,基本涵盖了全部常用中英文字词句的读音、释义及用法,是语言学习和写作的有利工具。

 

Copyright © 2004-2024 vtrois.com All Rights Reserved
更新时间:2026/4/18 17:11:38