网站首页  词典首页


请输入您要查询的字词:

 

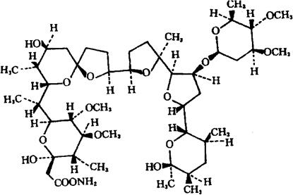
字词 马度米星
类别 中英文字词句释义及详细解析
释义 马度米星

C47H83NO17=934.17

CAS-84878-61-5

(3R,4S,5S,6R,7S,22S)-23,27-二去甲氧-2,6,22-三去甲基-11-O-去甲基-22-[(2,6-二去氧-3,4-二-O-甲基-β-L-阿拉伯己吡喃糖基)氧]-6-甲氧洛诺霉素A单铵盐。

(3R,4S,5S,6R,7S,22S)-23,27-Didemethoxy-2,6,22-tridemethyl-11-O-demethyl-22-[(2,6-dideoxy-3,4-di-O-methyl-β-L-arabinohexopyranosyl)oxy]-6-methoxy-lonomycin A,monoammonium salt.

(2R,3S,4S,5R,6S)-四氢-2-羟-6-[(R)-1-[(2S,5R,7S,8R,9S)-9-羟-2,8-二甲基-2-[(2S,2′R,3′S,-5R,5′R)-八氢-2-甲基-3′-[[(2R,4S,5S,6S)-四氢-4,5-二甲氧-6-甲基-2H-吡喃-2-基]氧]-5′-[(2S,3S,5R,6S)-四氢-6-羟-3,5,6-三甲基-2H-吡喃-2-基][[2,2′-二呋喃]-5-基]-1,6-二噁螺[4,5]癸-7-基]乙基]-4,5-二甲氧-3-甲基-2H-吡喃-2-醋酸铵。

Ammonium(2R,3S,4S,5R,6S)-tetrahydro-2-hydroxy-6-[(R)-1-[(2S,5R,7S,8R,9S)-9-hydroxy-2,8-dimethyl-2-[(2S,2′R,3′S,5R,5′R)-octahydro-2-methyl-3′-[[(2R,4S,5S,6S)-tetrahydro-4,5-dimethoxy-6-methyl-2H-pyran-2-yl]oxy]-5′-[(2S,3S,5R,6S)-tetrahydro-6-hydroxy-3,5,6-trimethyl2H-pyran-2-yl][[2,2′-bifuran]-5-yl]-1,6-dioxaspiro[4.5]dec-7-y1]ethyl]-4,5-dimethoxy-3-methyl-2Hpyran-2-acetate.

抗生素类药,抗球虫病药。

Maduramicin,CL 273,703,Cygro.

INN,USAN.

随便看

 

离鸟网收录3541549条中英文词条,其功能与新华字典、现代汉语词典、牛津高阶英汉词典等各类中英文词典类似,基本涵盖了全部常用中英文字词句的读音、释义及用法,是语言学习和写作的有利工具。

 

Copyright © 2004-2024 vtrois.com All Rights Reserved
更新时间:2026/4/18 21:05:42