网站首页  词典首页


请输入您要查询的字词:

 

字词 马哈拉诺比斯增长模型
类别 中英文字词句释义及详细解析
释义 马哈拉诺比斯增长模型

【内容介绍】:

1952年,马哈拉诺比斯用国民收入和投资等变量,建立了一个一部门增长模型。

1953年,他(Mahalanobis,1953,p.307-312)又把该模型发展成一个两部门增长模型,把整个经济的净产出假定是仅由两个部门(投资品部门和消费品部门)生产的。1955年,他(Mahalanobis,1955,p.3-130)建立了著名的四部门增长模型。本章讨论他的两部门增长模型和四部门增长模型。

1.两部门增长模型

1.1 基本假设条件

马哈拉诺比斯模型的基本假设条件是:

第一,经济是不存在外贸的封闭型经济。

第二,经济由两部门构成:消费品部门和资本品部门;不存在中间产品部门。生产中间产品的行业如果有助于消费品的生产,就归类于消费品部门;如果有助于资本品的生产,就归类于资本品部门。

第三,资本设备一旦被安装在任何部门,就具有不可移动性。但是,资本品部门的产品可以作为这两个部门的投入。

第四,无论在消费品部门还是在资本品部门,其生产能力都得到充分利用。

第五,投资是由资本品的供给决定的。

第六,价格没有变化。

1.2 模型的基本框架

马哈拉诺比斯把经济区分为两部分:λk(用于资本品部门的净投资比例)和λc(用于消费品部门的净投资比例):

λkc (1)

进一步说,净投资I可以在任何时点(t)上划分成两部分:λkIt(提高资本品部门的生产能力)和λcIt(提高消费品部门的生产能力):

ItkItcIt (2)

令βk和βc分别代表资本品部门和消费品部门的资本-产出比率,β代表总生产率系数,它可以表达成:

但是,λkc=1

∴β=βkλkcλc (3)

整个经济的收入等式是:

γt=It+Ct (4)

现在,当国民收入变化时,投资和消费也随之变化。

投资的变化取决于以前年度的投资(It-1),消费的变化同样也取决于以前年度的消费(Ct-1)。因此,t时期的投资增加是△It=It-It-1,消费增加是△Ct=Ct-Ct-1。

实际上,这两个部门的增长与投资的生产能力和资本-产出比率的联系不无关系。首先,投资增长路径是由资本品部门的投资生产能力(λkIk)及其资本-产出比率(βk)决定的,因此,

It-It-1kβkIt-1

It=It-1kβkIt-1

It=(1+λkβk)It-1 (5)

赋予t以不同的值(t=1,2,3,…),方程式(5)的解是:

I1=(1+λkβk)I0

I2=(1+λkβk)I1

=(1+λkβk)(1+λkβk)I0

=(1+λkβk)2+I0

同样地,赋予方程式(5)中的t值,我们得到:

It=I0(1+λkβk)t

或It-I0=I0(1+λkβk)t-1 (6)

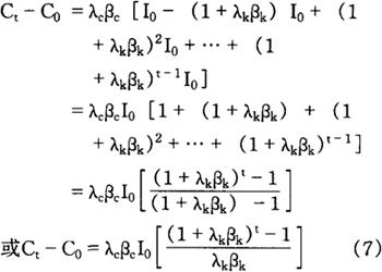
以此类推,赋予消费增长路径(△Ct=Ct-Ct1cβcIt-1)中的t值(t=1,2,3,…),我们得到:

C1-C0cβcI0

C2-C1cβcI1

最终,

Ct-C0cβc(I0+I1+I2+…+It)

把方程式(6)及其有关方程式中的I1、I2、…、It代入上式,此式的解为:

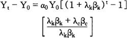
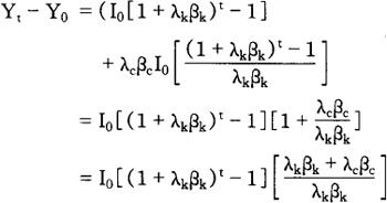
现在,根据方程式(4),整个经济的国民收入增长路径是:

△Y1=△It+△Ct

或Yt-Y0=(I-I0)+(Ct+C0)

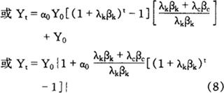
把方程式(6)和(7)的值代入上述方程式中,我们得到:

假定I00Y0,并把它代入上述方程式中,我们得到:

1.3 马哈拉诺比斯两部门模型与多马模型的关系

马哈拉诺比斯的两部门增长模型是依据多马模型推导出来的。因此,这两个模型具有密切的关系。首先,我们利用马哈拉诺比斯模型的参数来表述多马模型。

在多马模型中,决定投资的均衡方程式是:

I=αY

式中各符号的经济含义是:

I——投资

α——储蓄-收入比率

Y—-国民收入

t时期的投资增长是:

△It=α△Yt

初始时期的投资规定为:

I00Y0

我们得到:

另一方面,马哈拉诺比斯两部门模型的最终方程式是: (10)

马哈拉诺比斯模型与多马模型具有一定的相似性。

第一,方程式(9)和(10)的最终表达式是类似的,也就是说,(1+αβ)t与(1+λkβk)t是相似的,这是因为,多马的αβ就是马哈拉诺比斯的λkβk

第二,这两个模型使用的都是时滞概念。

第三,这两个模型的政策结论是相同的:投资可能因边际储蓄率的不断提高而被增加。

尽管这两个模型具有上述这些相似之处,但也有一些差异。第一,多马模型是一部门模型,而马哈拉诺比斯模型则是两部门模型。

第二,马哈拉诺比斯把经济划分为资本品部门和消费品部门,而多马则把整个经济看作是一个部门。

2.四部门增长模型

从实际意义上说,马哈拉诺比斯模型不是一个增长模型,而是一种配置模型。马哈拉诺比斯四部门模型是把经济划分为四个部门,这些部门是:

(1)投资品部门(K);

(2)大工厂生产消费品部门(C1);

(3)小工厂或家庭生产消费品(包括农产品)部门(C2);

(4)劳务(保健、教育等)生产部门(C3)。

在模型中,下角标k、1、2和3分别用来表示生产投资品、消费品(工厂和家庭的)以及劳务的行业。

就其中的每一个部门来说,三种参数各有一种组合:

β组合,即βk、β1、β2、β3=产生的净收入与投资的比率或产出-资本比率;

θ组合,即θk、θ1、θ2、θ3=每一受雇佣的人所需要的净投资或资本-劳动力比率;

λ组合,即λk、λ1、λ2、λ3=分配给每一部门的投资比例或配置比率。

此外,A=五年计划时期的投资总量

E=计划时期的国民收入的增加总额

N=计划时期的就业增加总量

给定这些比率参数(β、θ和λ)以及将要投资的总量(A),依据方程式体系来估计计划时期的国民收入总量(E)和就业总量(N)。

该模型的方程式是:

E=Ek+E1+E2+E3 (11)

N=nk+n1+n2+n3 (12)

A=λkA+λ1A+λ2A+λ3A (13)

现在,每一部门的就业(N)增加量是:

依据方程式(4),就业总量是:

A=nkθk+n1θ1+n2θ2+n3θ3(∵n2θkkA)依据方程式(15)、(16)和(17)得,

n1θ11A

n2θ22A

n3θ33A

同样地,每一部门的国民收入(E)增加量可以作如下估计:

Ek=λkk (18)

E111 (19)

E222 (20)

E333 (21)

则国民收入总量为:

E=nkθkβk+n1θ1β1+n2θ2β2+n3θ3β3

=Y0[(1+η)5-1] (22)

在马哈拉诺比斯模型中,上述方程式是最终方程式,其中η是一种既定的5%的年收入增长率,Y0是每年的初始国民收入,E则通过η比率适用于Y0求导出来。在上述既定的方程体系中,A、E和N是边界条件(boundary conditions),都是常量。

但与此同时,它们又是在计划时期将要取得的目标变量。β、θ和λ是工具变量。

然而,β和θ是结构参数,由技术条件来决定,假定在计划时期保持不变。λ是配置参数,计划者在一定范围内进行选择。

在马哈拉诺比斯模型中,投资品部门的配置参数(比率)λk是既定的,其他三个部门的配置参数(λ1、λ2、λ3)作为上述给出的联立方程组的解。例如,正如马哈拉诺比斯所解释的那样,“国民收入或就业的增长率被看作是可以设置期望值的变量。借助于各参数的数字估计,该模型能使我们研究配置比率λ(亦即总投资分配于各部门的比例)应如何选择,以便实现预期目标。”

马哈拉诺比斯教授为其模型举了一种数字解,其中,

A(总投资)=5600货币单位

η(国民收入增长百分比)=5%/年

N(创造的就业总量)=1100万人

λk(投资品行业的投资百分比)=33%

β、θ和λ的部门值是(见表1):

表1

依据这些给定的数据,部门k中的投资额是货币单位;因投资增加所导致的国民收入增加数量是Ek=货币单位,而部门k中的就业增加数量是

同样地,借助于联立方程组,五年计划时期国民收入、就业和投资分配于其他部门的结果如下(见表2):

表2

从上述分析可以看出,在既定的时期内,为了实现一定的经济增长率,投资总量要按照能取得必要增长率的方式来划分。但是,由于必要增长率高得适度,故而可以通过扩张部门k,生产更多数量的投资品,实现必要增长率。可是,部门k的投资必然会使购买力提高,从而增加消费品的需求,比较起来需要较少的资本而雇佣更多的劳动力。由此可见,试图在投资品部门和消费品部门之间搞平衡。

3.简要评论

马哈拉诺比斯模型无论从上述解来看,还是从印度在第二个五年计划时期的实际应用情况来看,它作为发展计划的一种工具是很有用的。尽管如此,该模型仍然有其局限性和缺点(TSuru,1957;Mitra,1957;Mathur,1957)。

第一,不能解任何有限福利函数。该模型实质上是一种运算模型。

正如业已解释的那样,它从与偏好或福利函数有关的相重解中求出一种最适解。然而,该模型的数字解未表明任何有限福利函数,而没有有限福利函数,它就不可能求出最适资源配置。

第二,λk的任意值。马哈拉诺比斯假定λk的值是1/3,但他没有说明选择这一数值的任何令人信服的原因,而只是说“按照现在的条件,超过此值是不可能的”。如果选择任何其他值或任何其他配置参数的任何值,也许获得更好的结果。因此,λk=1/3这种假设带有任意性,可能无助于计划者获得正确的不同部门的最适投资配置解。

第三,λ技术不适用于开放经济。利用λ技术要求,投资是单一同质基金,用于单一投资品类型,而且相对价格保持不变。

但是,在开放经济中,投资品是异质的(这需要利用投资矩阵),相对价格也不是不变的,故λ技术不能被应用于开放经济模型。

第四,农业生产的供给不是无限弹性的。马哈拉诺比斯模型依据农业生产的供给是无限弹性这一假设建立的。可是就许多发展中国家来说,农业生产的供给已经不能满足增长的食品和原材料需求,也就是说,发展中国家经常存在食品和原材料短缺现象,故这一假设是站不住脚的。

第五,劳动力供给也不是无限弹性的。该模型还假定劳动力供给是无限弹性的,但这一假设就是对面临严重失业和就业不足问题的欠发达国家来说似乎也不正确。因为生产结构所需要的不是简单的劳动力,而是有技能、训练有素的劳动力。

第六,生产技术不是固定的。

同哈罗德一样,马哈拉诺比斯假定生产技术在计划时期是固定不变的。实际上,在发展过程中,技术进步必然会发生。

第七,结构参数的任意值。结构参数(β和θ)的指定值也是任意的。实际上,在欠发达国家,十分缺乏足够的、可信赖的数据,要正确地估计β和θ的值极其困难。而且,资本-产出比率与资本-劳动比率间的无关性假设也不现实。

这些参数在发展过程中可能变化。

第八,避而不谈混合经济的投资。

马哈拉诺比斯模型没有为计划者决定投资在私人部门投资多少,在公共部门投资多少提供思路。他对于混合经济国家的发展计划这一十分重要的问题未予讨论。

第九,忽略要素价格。

该模型的另一个重要的缺陷是没有考虑要素价格的类型。

第十,封闭型模型。该模型仅限于封闭型经济。他假设不存在投资品的进出口。因此,他不考虑外贸对模型变量的影响,使其失去现实性。

第十一,忽略了需求函数。他的模型只集中于供给函数,没有一同考虑需求函数。这是一个不现实的假设,使增长模型不完全。“实际来说,在不发达经济的发展计划过程中,不可避免地要涉及到市场力量、心理环境、民众热情等。而马哈拉诺比斯模型却为了数学简化而不声不响地忽略了这些重要的问题。”

第十二,未把投资决策与必要的储蓄率联系在一起。根据拉吉(Raj,1961)教授的观点,马哈拉诺比斯模型的缺点之一是它未把投资决策与必要的储蓄率联系在一起。

高边际储蓄率是有利于资本集约技术生产的主要条件之一。

第十三,未解释技术选择问题。拉吉(Raj,1961,p.260-261)教授指出,马哈拉诺比斯模型未解释技术选择问题。

他反问道,如果部门依据生产技术来划分,为什么部门K不应按同样的方式划分?甚至在机器工具的制造过程中,或多或少地存在著资本集约型技术,但劳动力集约型技术的情况也许一直被更为突出地说明。

总之,马哈拉诺比斯把两部门模型扩展为四部门模型,集中研究了在增加收入的同时减少失业。在此基础上,他提出了“二元发展论”,即为了长期增长的利益,要高度重视资本品部门,在短期内,强调劳动密集程度高的消费品部门。这一思想,有时也被称为“两条腿走路”的发展战略。该模型尽管有许多不足,但它在增长理论中占据很重要的地位,这不仅表现在它提供了实际计算投资及其配置的基础,更重要的是它为发展中国家的发展计划奠定了理论基础,并提供了一种可行的计划工具。

【参考文献】:

哈罗德-多马增长模型(Harrod-Domar Growth Model)

索洛增长模型(Solow Growth Model)

米德增长模型(Meade Growth Model)

卡尔多增长模型(Kaldor Growth Model)

罗宾逊资本积累模型(Robinson Capital Accumlation Model)

技术进步增长模型(Technical Progress Growth Model)

稳定状态增长模型(Steady State Growth Model)

费尔德曼增长模型(Fel’dman Growth Model)

Mahalanobis, P. C., 1953, Some Observations on the Process of Growth of National Income, Sankhya 12.

Mahalanobis, P. C, 1955, The Approach of Operational Research to Planning in India,Sankhya 16.

Mathur, P. N., 1957, A Note on Planning in India, Indian Economic Journal,November 4.

Mitra, A., 1957, A Note on the Mahalanobis Model, Economic Weekly,March 16.

Raj,K. N., 1961, Growth Models andIndian Planning,Indian Economic Journal,February. Tsuru, S.,1957, Some Theoretical Doubts on the Plan-Frame, Economic Weekly.

郭庆旺,1995,《现代经济增长模型比较研究》,东北财经大学出版社

随便看

 

离鸟网收录3541549条中英文词条,其功能与新华字典、现代汉语词典、牛津高阶英汉词典等各类中英文词典类似,基本涵盖了全部常用中英文字词句的读音、释义及用法,是语言学习和写作的有利工具。

 

Copyright © 2004-2024 vtrois.com All Rights Reserved
更新时间:2026/4/19 21:35:08