网站首页  词典首页


请输入您要查询的字词:

 

字词 饱充设备
类别 中英文字词句释义及详细解析
释义 饱充设备

1.型式

目前通用的为连续作业的无鼓泡式饱充罐,其结构较简单。主要结构见图4-20。

窑气经由切线方向的四根导管直接进入罐中。

罐内液位高度对较小的罐为2500~3000毫米,较大的罐可高达3500~4000毫米或7000毫米。

有的罐中装有几层等距离木(或铁)栅格,用以提高窑气中CO2的吸收率(最高可达80%)

糖汁与窑气的相遇有顺流与逆流二种,各有利弊,逆流操作能获得高CO2吸收率。

带有鼓泡器的饱充罐,除具有用以均匀分布窑气的鼓泡器外,其他结构与无鼓泡器式相同。

另一种饱充罐为同时加灰饱充罐(见图4-21),适用于饱充罐须加入较多量或全部石灰的场合,以保证石灰乳与糖汁得到充分混合。

第三种为自身循环饱充罐,较简单的结构是在目前通用的饱充罐基础上增添糖汁循环泵及混合箱。也有更进一步在罐内增添分格或搅拌装置,以使混合汁(主灰汁与循环汁)同CO2得到充分混合。罐内自身循环,由于可以加大CaCO3颗粒而有助于糖汁过滤,采用者日广。

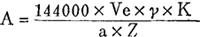
2.生产能力计算

同加灰桶的公式相同。

式中 A——加工甜菜量(吨/日)

Ve——罐有效容积(米3)

对一碳饱充罐为总容积的30%

对二碳饱充罐为总容积的40%

γ——饱充汁容重(吨/米3)

对一碳汁取1.09

对二碳汁取1.06

K——不均衡系数(0.8~0.9)

Z——饱充汁在罐内的作用时间(分)

对一碳饱充罐取10分(无回流)

对二碳饱充罐取5分

a——饱充汁重量(%对甜菜)

3.饱充罐规格

制糖设备系列化后,饱充罐定有下列三种规格,以有效容积(米3)计:5,12,25。

表4-45为饱充罐的规格。

表4-45 TQX型饱充罐规格

随便看

 

离鸟网收录3541549条中英文词条,其功能与新华字典、现代汉语词典、牛津高阶英汉词典等各类中英文词典类似,基本涵盖了全部常用中英文字词句的读音、释义及用法,是语言学习和写作的有利工具。

 

Copyright © 2004-2024 vtrois.com All Rights Reserved
更新时间:2026/4/18 16:15:37