网站首页  词典首页


请输入您要查询的字词:

 

字词 顺流溢浆式网槽的设计计算实例
类别 中英文字词句释义及详细解析
释义 顺流溢浆式网槽的设计计算实例

【说明】 该实例与上述计算从步骤及方法上有所不同,可参考运用(参见图1-16-5)。

【例】 1、设计依据

❶ 工艺条件(生产书写纸)

V——纸机抄速:70m/min

P——上浆浓度:0.13%

G——纸的定量:50g/m2

W——纸面宽:1125mm

g——回浆量:40%

❷ 网笼规格

D——直径:Φ1270mm

S——网笼面宽:1300mm

W1——网有效宽度:W1=W=1125mm

❸ 假设条件

A——网槽宽:1480mm

L——滤面长:2520mm

白水位与排浆无影响

❹ 设计依据

圆弧三角形挂浆法

三角滤水法(回浆浓度大,上浆浓度7.5%)

进口浆速V1=75%V(抄速)

出口浆速V2=35%V(抄速),相当于:V2∶V=1∶3,各点浆速呈正比例下降。

2.网槽流浆箱的计算

❶ 浆的流量Q

【公式】

3.排浆部“牛角道”计算

【说明】 由已知条件知:V1′=75%V,V2′=35%V,各项计算如下(分六等分),速比按正比例下降。见图1-16-8

❶ “牛角道”各点浆速比

a点浆速比V1=75%

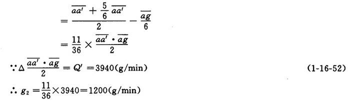
❸ “牛角道”单位时间挂浆量Q′

【公式】

❹ “牛角道”通过浆量Q

【公式】 Q=Q1(+40%) (1-16-49)

=3940(1+40%)=5520(g/min)

=5.52(kg/min)

(4)“牛角道”尺寸的设计

❶ 的计算

已知经过浆量Q1=Q=5520(g/min),故:

b.经过浆量Q2

【公式】

Q2=Q1-g2=5520—1200=4.320(kg/min)

c.的计算

❹ (挂浆中点)的计算

a.前挂浆量g4

【公式】

b.经过浆量Q4

【公式】

随便看

 

离鸟网收录3541549条中英文词条,其功能与新华字典、现代汉语词典、牛津高阶英汉词典等各类中英文词典类似,基本涵盖了全部常用中英文字词句的读音、释义及用法,是语言学习和写作的有利工具。

 

Copyright © 2004-2024 vtrois.com All Rights Reserved
更新时间:2026/4/18 20:34:55